Golang CSP并发模型
今天介绍一下 go语言的并发机制以及它所使用的CSP并发模型
CSP并发模型
CSP模型是上个世纪七十年代提出的,用于描述两个独立的并发实体通过共享的通讯 channel(管道)进行通信的并发模型。 CSP中channel是第一类对象,它不关注发送消息的实体,而关注与发送消息时使用的channel。
Golang CSP
Golang 就是借用CSP模型的一些概念为之实现并发进行理论支持,其实从实际上出发,go语言并没有,完全实现了CSP模型的所有理论,仅仅是借用了 process和channel这两个概念。process是在go语言上的表现就是 goroutine 是实际并发执行的实体,每个实体之间是通过channel通讯来实现数据共享。
Channel
Golang中使用 CSP中 channel 这个概念。channel 是被单独创建并且可以在进程之间传递,它的通信模式类似于 boss-worker 模式的,一个实体通过将消息发送到channel 中,然后又监听这个 channel 的实体处理,两个实体之间是匿名的,这个就实现实体中间的解耦,其中 channel 是同步的一个消息被发送到 channel 中,最终是一定要被另外的实体消费掉的,在实现原理上其实是一个阻塞的消息队列。
Goroutine
Goroutine 是实际并发执行的实体,它底层是使用协程(coroutine)实现并发,coroutine是一种运行在用户态的用户线程,类似于 greenthread,go底层选择使用coroutine的出发点是因为,它具有以下特点:
- 用户空间 避免了内核态和用户态的切换导致的成本
- 可以由语言和框架层进行调度
- 更小的栈空间允许创建大量的实例
可以看到第二条 用户空间线程的调度不是由操作系统来完成的,像在java 1.3中使用的greenthread的是由JVM统一调度的(后java已经改为内核线程),还有在ruby中的fiber(半协程) 是需要在重新中自己进行调度的,而goroutine是在golang层面提供了调度器,并且对网络IO库进行了封装,屏蔽了复杂的细节,对外提供统一的语法关键字支持,简化了并发程序编写的成本。
Goroutine 调度器
上节已经说了,golang使用goroutine做为最小的执行单位,但是这个执行单位还是在用户空间,实际上最后被处理器执行的还是内核中的线程,用户线程和内核线程的调度方法有:
-
N:1 多个用户线程对应一个内核线程

-
1:1 一个用户线程对应一个内核线程

-
M:N 用户线程和内核线程是多对多的对应关系

golang 通过为goroutine提供语言层面的调度器,来实现了高效率的M:N线程对应关系

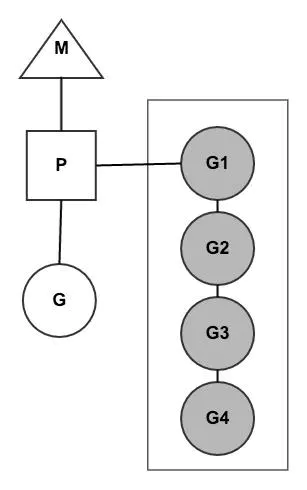
图中
- M:是内核线程
- P : 是调度协调,用于协调M和G的执行,内核线程只有拿到了 P才能对goroutine继续调度执行,一般都是通过限定P的个数来控制golang的并发度
- G : 是待执行的goroutine,包含这个goroutine的栈空间
- Gn : 灰色背景的Gn 是已经挂起的goroutine,它们被添加到了执行队列中,然后需要等待网络IO的goroutine,当P通过 epoll查询到特定的fd的时候,会重新调度起对应的,正在挂起的goroutine。
Golang为了调度的公平性,在调度器加入了steal working 算法 ,在一个P自己的执行队列,处理完之后,它会先到全局的执行队列中偷G进行处理,如果没有的话,再会到其他P的执行队列中抢G来进行处理。
总结
Golang实现了 CSP 并发模型做为并发基础,底层使用goroutine做为并发实体,goroutine非常轻量级可以创建几十万个实体。实体间通过 channel 继续匿名消息传递使之解耦,在语言层面实现了自动调度,这样屏蔽了很多内部细节,对外提供简单的语法关键字,大大简化了并发编程的思维转换和管理线程的复杂性。

浙公网安备 33010602011771号