RNN&LSTM
RNN
- 概要:处理时间序列,句子,除了组成句子的每个单词,上下文的语境也很重要

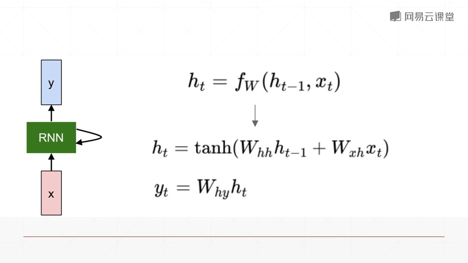
可以采用$W_{xh}$和$W_{hh}$两个参数共享权值,h矩阵为模型的memory,从上图可以看出,随着时间序列的推移每一次权值的传递都与传递前的h矩阵相关联,也就实现了h做模型memory的作用了

总体来看,每次输入一个序列$X_{t}$,它的size是[5,3,100](5个单词,3个batch,100给feature),每次输入权值向前传递的同时也会向自己传递(h-memeory作用)

展开结果如上图

每次得到的语境信息$h_{i}$,可以为h的任意一个,也可以是全部加权计算的$h_{w}$
公式推理

#Carrawayang written
浙公网安备 33010602011771号