LeetCode - 24. 两两交换链表中的节点(链表)
给定一个链表,两两交换其中相邻的节点,并返回交换后的链表。
你不能只是单纯的改变节点内部的值,而是需要实际的进行节点交换。

-
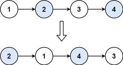
输入:head = [1,2,3,4]
输出:[2,1,4,3] -
输入:head = []
输出:[] -
输入:head = [1]
输出:[1]
其中我们应该关心的主要有三点:
- 返回值
- 调用单元做了什么
- 终止条件
在本题中:
- 返回值:交换完成的子链表
- 调用单元:设需要交换的两个点为 head 和 next,head 连接后面交换完成的子链表,next 连接 head,完成交换
- 终止条件:head 为空指针或者 next 为空指针,也就是当前无节点或者只有一个节点,无法进行交换
递归解法
class Solution {
public ListNode swapPairs(ListNode head) {
if(head == null || head.next == null){
return head;
}
ListNode next = head.next;
head.next = swapPairs(next.next);
next.next = head;
return next;
}
}
非递归解法
class Solution {
public ListNode swapPairs(ListNode head) {
ListNode pre = new ListNode(0);
pre.next = head;
ListNode temp = pre;
while(temp.next != null && temp.next.next != null) {
ListNode start = temp.next;
ListNode end = temp.next.next;
temp.next = end;
start.next = end.next;
end.next = start;
temp = start;
}
return pre.next;
}
}

浙公网安备 33010602011771号