LeetCode - 110 平衡二叉树 --DFS(自顶向下,自底向上)
110. 平衡二叉树
给定一个二叉树,判断它是否是高度平衡的二叉树。
本题中,一棵高度平衡二叉树定义为:
一个二叉树每个节点 的左右两个子树的高度差的绝对值不超过 1 。
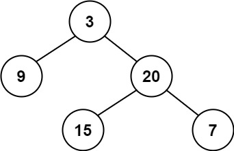
示例 1:

输入:root = [3,9,20,null,null,15,7]
输出:true
示例 2:

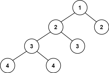
输入:root = [1,2,2,3,3,null,null,4,4]
输出:false
示例 3:
输入:root = []
输出:true

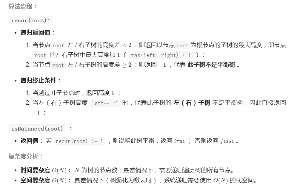
自底向上 height函数只会被调用1次
//自底向上 height函数只会被调用1次
class Solution_110{
public boolean isBalanced(TreeNode root) {
return height(root) >= 0;
}
private int height(TreeNode root) {
if (root == null){
return 0;
}
int leftHeight = height(root.left);
int rightHeight = height(root.right);
if (leftHeight == -1 || rightHeight == - 1 ||Math.abs(leftHeight - rightHeight) > 1 ){
return -1;
}
else {
return Math.max(leftHeight,rightHeight) + 1;
}
}
}

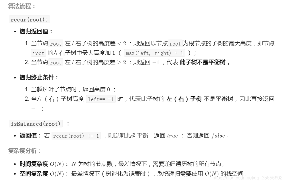
自顶向下, height函数会被调用多次
//自顶向下, height函数会被调用多次
class Solution {
public boolean isBalanced(TreeNode root) {
if (root == null)
return true;
else
return Math.abs(height(root.left) - height(root.right)) <= 1 && isBalanced(root.left) && isBalanced(root.right);
}
private int height(TreeNode root) {
if (root == null)
return 0;
else
return Math.max(height(root.left),height(root.right)) + 1;
}
}

浙公网安备 33010602011771号