【BFS】——LeetCode - 111.二叉树的最小深度
// 计算从起点 start 到终点 target 的最近距离
int BFS(Node start, Node target) {
Queue<Node> q; // 核心数据结构
Set<Node> visited; // 避免走回头路
q.offer(start); // 将起点加入队列
visited.add(start);
int step = 0; // 记录扩散的步数
while (q not empty) {
int sz = q.size();
/* 将当前队列中的所有节点向四周扩散 */
for (int i = 0; i < sz; i++) {
Node cur = q.poll();
/* 划重点:这里判断是否到达终点 */
if (cur is target)
return step;
/* 将 cur 的相邻节点加入队列 */
for (Node x : cur.adj())
if (x not in visited) {
q.offer(x);
visited.add(x);
}
}
/* 划重点:更新步数在这里 */
step++;
}
}
题目描述
给定一个二叉树,找出其最小深度。
最小深度是从根节点到最近叶子节点的最短路径上的节点数量。
说明:叶子节点是指没有子节点的节点。

示例 1:
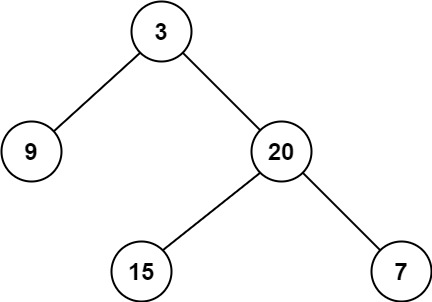
输入:root = [3,9,20,null,null,15,7]
输出:2
示例 2:
输入:root = [2,null,3,null,4,null,5,null,6]
输出:5
解题思路
首先明确一下起点 start 和终点 target 是什么,怎么判断到达了终点?
显然起点就是 root 根节点,终点就是最靠近根节点的那个「叶子节点」嘛,叶子节点就是两个子节点都是 null 的节点:
if (cur.left == null && cur.right == null)
// 到达叶子节点
递归方法:
class Solution {
public int minDepth(TreeNode root) {
if(root == null) return 0;
if(root.left == null && root.right == null) return 1;
int left = minDepth(root.left);
int right = minDepth(root.right);
if(root.left == null || root.right == null) return left + right + 1;
return Math.min(left,right) + 1;
}
}
BFS
int minDepth(TreeNode root) {
if (root == null) return 0;
Queue<TreeNode> q = new LinkedList<>();
q.offer(root);
// root 本身就是一层,depth 初始化为 1
int depth = 1;
while (!q.isEmpty()) {
int sz = q.size();
/* 将当前队列中的所有节点向四周扩散 */
for (int i = 0; i < sz; i++) {
TreeNode cur = q.poll();
/* 判断是否到达终点 */
if (cur.left == null && cur.right == null)
return depth;
/* 将 cur 的相邻节点加入队列 */
if (cur.left != null)
q.offer(cur.left);
if (cur.right != null)
q.offer(cur.right);
}
/* 这里增加步数 */
depth++;
}
return depth;
}

浙公网安备 33010602011771号