【BFS】——LeetCode - 112. 路径总和
题目描述
给你二叉树的根节点 root 和一个表示目标和的整数 targetSum ,判断该树中是否存在 根节点到叶子节点 的路径,这条路径上所有节点值相加等于目标和 targetSum 。
叶子节点 是指没有子节点的节点。
示例 1:

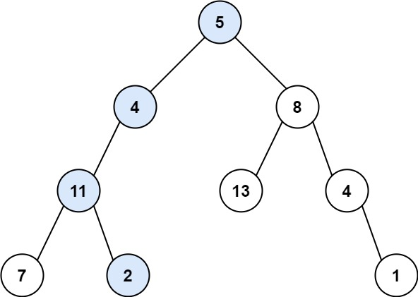
输入:root = [5,4,8,11,null,13,4,7,2,null,null,null,1], targetSum = 22
输出:true
示例 2:

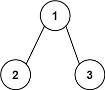
输入:root = [1,2,3], targetSum = 5
输出:false
示例 3:
输入:root = [1,2], targetSum = 0
输出:false
解题思路
首先我们可以想到使用广度优先搜索的方式,记录从根节点到当前节点的路径和,以防止重复计算。
这样我们使用两个队列,分别存储将要遍历的节点,以及根节点到这些节点的路径和即可。
BFS
class Solution {
public boolean hasPathSum(TreeNode root, int targetSum) {
if (root == null) return false;
Queue<TreeNode> q = new LinkedList<>();
Queue<Integer> qVal = new LinkedList<>();
q.offer(root);
qVal.offer(root.val);
while (!q.isEmpty()){
TreeNode cur = q.poll();
int temp = qVal.poll();
if (cur.left == null && cur.right == null){
if (temp == targetSum)
return true;
continue;
}
if (cur.left != null){
q.offer(cur.left);
qVal.offer(cur.left.val + temp);
}
if (cur.right != null){
q.offer(cur.right);
qVal.offer(cur.right.val + temp);
}
}
return false;
}
}
递归
class Solution {
public boolean hasPathSum(TreeNode root, int sum) {
if (root == null) {
return false;
}
if (root.left == null && root.right == null) {
return sum == root.val;
}
return hasPathSum(root.left, sum - root.val) || hasPathSum(root.right, sum - root.val);
}
}

浙公网安备 33010602011771号