LeetCode - 86. 分隔链表——双指针
题目描述
给你一个链表的头节点 head 和一个特定值 x ,请你对链表进行分隔,使得所有 小于 x 的节点都出现在 大于或等于 x 的节点之前。
你应当 保留 两个分区中每个节点的初始相对位置。
示例 1:

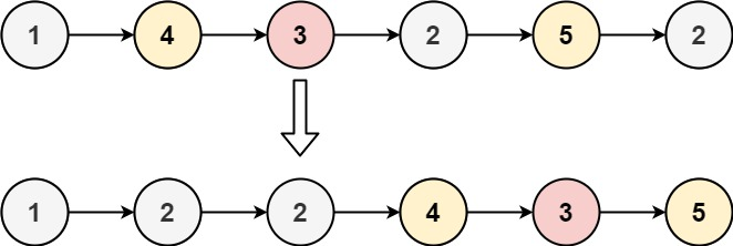
输入:head = [1,4,3,2,5,2], x = 3
输出:[1,2,2,4,3,5]
示例 2:
输入:head = [2,1], x = 2
输出:[1,2]
解题思路
只需要遍历链表的所有节点,小于x的放到一个小的链表中,大于等于x的放到一个大的链表中,最后再把这两个链表串起来即可。
class Solution {
public ListNode partition(ListNode head, int x) {
ListNode small = new ListNode(0);
ListNode smallHead = small;
ListNode big = new ListNode(0);
ListNode bigHead = big;
while (head != null){
if (head.val < x){
small.next = head;
small = small.next;
}else {
big.next = head;
big = big.next;
}
head = head.next;
}
big.next = null;
small.next = bigHead.next;
return smallHead.next;
}
}

浙公网安备 33010602011771号