5/12
时间安排
7:50--8:10 读题,T1神秘博弈,T2数论,T3感觉是个数据结构,T4一看 10s 时限数据随机就知道又是那种神秘的随机化论文定理啥的题,直接弃了。
8:10--8:30 T3,想一想发现信息可以拆分贡献,用树剖啥的维护,可以做到 \(n\sqrt n log^2\) ,很垃圾的复杂度,不知道能通过 5e4 不能。感觉可以应该可以上个什么重型的其他东西优化不过也有花不了多少,意识到是个大型数据结构题,先写其他的。
8:30--9:40 T2,首先有暴力。然后考虑 n 为质数的时候其对答案的影响是比较简单的,可以离线做。 60 分。
9:40--11:30 T1,可以暴力 dp ,不过显然这玩意没有任何用,应该又是结论什么的。然后发现 k=0 是个博弈模型,然后开始猜结论。猜到11:30 .然后过了。
11:30--12:20 T3,先写了部分分,然后写 \(n\sqrt n log^2\) ,然后啥的过不去。有优化空间,可以写个全局平衡二叉树或者 lct 代替树剖,难写常数也比较大。感觉正解不是这个,冥冥中感觉是树分块,不知道咋维护。
12:20--12:40 T4,最后一点时间,把T4写了,硬随,随了 20 多分。然后去吃饭。
回顾反思
T1:
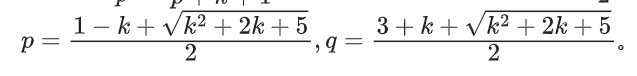
结论题。
威佐夫博弈。
一直不是很懂这种题如果不知道结论该咋做,也没用到啥博弈 sg 或者策略啥的,就是一数学关系判断。

这有带分式又带根号还不是整数而是在实数意义上的东西我就不信有人能只凭暴力 dp 的打表硬蹬蹬出规律来。
不过这个博弈模型以及在这道题上的拓展可以积累一下。
T2:
赛时写出了 n 为质数的情况,很有启发性,正解其实是由此出发拓展的。
理一下要求的东西,实际上是枚举 n 所带的质因子,对不携带对应质因子的答案求和。
那么就可以容斥,枚举多带了哪些质因子,把不合法的减去。
很好的题目。
感觉赛时 n 的质因子和 m 的关系还是没有理清,导致没有推出上述题目的等价形式。
T3:
套路的点是求两点 lca 到根的距离,可以对于 x 将其到根的边打上标记,那么由 y 向根打了标记的边的权值和就是要求的。
然后就是树分块。
传统的树分块貌似还不是很好处理,正解给出了一个非常劣但放在这道题就很合适的树分块科技。
T4:
随机化论文题。

浙公网安备 33010602011771号