剑指offer一刷:动态规划
剑指 Offer 10- I. 斐波那契数列
难度:简单
方法一:递归法
- 原理:把 f(n) 问题的计算拆分成 f(n-1) 和 f(n-2) 两个子问题的计算,并递归,以 f(0) 和 f(1) 为终止条件。
- 缺点:大量重复的递归计算,例如 f(n) 和 f(n - 1) 两者向下递归需要 各自计算 f(n - 2) 的值。
时间复杂度:O(2N),空间复杂度:O(N)。
方法二:记忆化递归法
- 原理:在递归法的基础上,新建一个长度为 n 的数组,用于在递归时存储 f(0) 至 f(n) 的数字值,重复遇到某数字则直接从数组取用,避免了重复的递归计算。
- 缺点:记忆化存储需要使用 O(N) 的额外空间。
时间复杂度:O(N),空间复杂度:O(N)。
方法三:动态规划
- 原理:以斐波那契数列性质 f(n + 1) = f(n) + f(n - 1) 为转移方程。
- 从计算效率、空间复杂度上看,动态规划是本题的最佳解法。
空间复杂度降低:
若新建长度为 n 的 dp 列表,则空间复杂度为 O(N)。
- 由于 dp 列表第 i 项只与第 i-1 和第 i-2 项有关,因此只需要初始化三个整形变量 sum, a, b,利用辅助变量 sum 使 a, b 两数字交替前进即可(具体实现见代码)。
- 节省了 dp 列表空间,因此空间复杂度降至 O(1)。
class Solution {
public int fib(int n) {
int a = 0, b = 1, sum;
for(int i = 0; i < n; i++){
sum = (a + b) % 1000000007;
a = b;
b = sum;
}
return a;
}
}
作者:Krahets
链接:https://leetcode.cn/leetbook/read/illustration-of-algorithm/50fji7/
来源:力扣(LeetCode)
著作权归作者所有。商业转载请联系作者获得授权,非商业转载请注明出处。
时间复杂度:O(N),空间复杂度:O(1)。
剑指 Offer 10- II. 青蛙跳台阶问题
难度:简单
本题可转化为求斐波那契数列第 n 项的值。与上一题完全等价,三个方法不再赘述。
唯一的不同在于起始数字不同:
- 青蛙跳台阶问题: f(0)=1, f(1)=1, f(2)=2;
- 斐波那契数列问题: f(0)=0, f(1)=1, f(2)=1。
class Solution {
public int numWays(int n) {
int a = 1, b = 1, sum;
for(int i = 0; i < n; i++){
sum = (a + b) % 1000000007;
a = b;
b = sum;
}
return a;
}
}
作者:Krahets
链接:https://leetcode.cn/leetbook/read/illustration-of-algorithm/57xs06/
来源:力扣(LeetCode)
著作权归作者所有。商业转载请联系作者获得授权,非商业转载请注明出处。
剑指 Offer 63. 股票的最大利润
难度:中等
方法一:暴力解法
时间复杂度为 O(N2),不考虑。
方法二:动态规划
- 状态定义:设动态规划列表 dp,dp[i] 代表以 prices[i] 为结尾的子数组的最大利润(以下简称为 前 i 日的最大利润 )。
- 转移方程:由于题目限定“买卖该股票一次”,因此前 i 日最大利润 dp[i] 等于前 i - 1 日最大利润 dp[i-1] 和第 i 日卖出的最大利润中的最大值。
dp[i] = max(dp[i - 1], prices[i] - min(prices[0 : i]))
前 i 日最大利润 = max(前 (i-1) 日最大利润, 第 i 日价格 - 前 i 日最低价格)
- 初始状态:dp[0] = 0,即首日利润为 0;
- 返回值:dp[n - 1],其中 n 为 dp 列表长度。
时间复杂度降低:
前 i 日的最低价格 min(prices[0 : i]) 时间复杂度为 O(i)。而在遍历 prices 时,可以借助一个变量(记为成本 cost)每日更新最低价格。优化后的转移方程为:
dp[i] = max(dp[i−1], prices[i] − min(cost, prices[i])
空间复杂度降低:
由于 dp[i] 只与 dp[i - 1], prices[i], cost 相关,因此可使用一个变量(记为利润 profit)代替 dp 列表。优化后的转移方程为:
profit = max(profit, prices[i] − min(cost, prices[i])
class Solution {
public int maxProfit(int[] prices) {
int cost = Integer.MAX_VALUE, profit = 0;
for(int price : prices) {
cost = Math.min(cost, price);
profit = Math.max(profit, price - cost);
}
return profit;
}
}
作者:Krahets
链接:https://leetcode.cn/leetbook/read/illustration-of-algorithm/58vmds/
来源:力扣(LeetCode)
著作权归作者所有。商业转载请联系作者获得授权,非商业转载请注明出处。
时间复杂度:O(N),空间复杂度:O(1)。
剑指 Offer 42. 连续子数组的最大和
难度:简单
方法一:动态规划
本题动态规划解法最优,只写动态规划的解法。
- 状态定义:设动态规划列表 dp,dp[i] 代表以元素 nums[i] 为结尾的连续子数组最大和。
- 为何定义最大和 dp[i] 中必须包含元素 nums[i]:保证 dp[i] 递推到 dp[i+1] 的正确性;如果不包含 nums[i],递推时则不满足题目的连续子数组要求。
- 转移方程:若 dp[i−1]≤0,说明 dp[i−1] 对 dp[i] 产生负贡献,即 dp[i-1] + nums[i] 还不如 nums[i] 本身大。

- 初始状态:dp[0] = nums[0],即以 nums[0] 结尾的连续子数组最大和为 nums[0]。
- 返回值:返回 dp 列表中的最大值,代表全局最大值。
class Solution {
public int maxSubArray(int[] nums) {
int res = nums[0];
for(int i = 1; i < nums.length; i++) {
nums[i] += Math.max(nums[i - 1], 0);
res = Math.max(res, nums[i]);
}
return res;
}
}
作者:Krahets
链接:https://leetcode.cn/leetbook/read/illustration-of-algorithm/59h9mr/
来源:力扣(LeetCode)
著作权归作者所有。商业转载请联系作者获得授权,非商业转载请注明出处。
时间复杂度:O(N),空间复杂度:O(1)。
剑指 Offer 47. 礼物的最大价值
难度:中等
方法一:动态规划
根据题目说明,易得某单元格只可能从上边单元格或左边单元格到达。
设 f(i, j) 为从棋盘左上角走至单元格 (i, j) 的礼物最大累计价值,易得到以下递推关系:f(i, j) 等于 f(i, j-1) 和 f(i-1, j) 中的较大值加上当前单元格礼物价值 grid(i, j)。

因此,可用动态规划解决此问题,以上公式便为转移方程。
可以将原矩阵 grid 用作 dp 矩阵,即直接在 grid 上修改,降低空间复杂度。
class Solution {
public int maxValue(int[][] grid) {
int m = grid.length, n = grid[0].length;
for(int j = 1; j < n; j++) // 初始化第一行
grid[0][j] += grid[0][j - 1];
for(int i = 1; i < m; i++) // 初始化第一列
grid[i][0] += grid[i - 1][0];
for(int i = 1; i < m; i++)
for(int j = 1; j < n; j++)
grid[i][j] += Math.max(grid[i][j - 1], grid[i - 1][j]);
return grid[m - 1][n - 1];
}
}
作者:Krahets
链接:https://leetcode.cn/leetbook/read/illustration-of-algorithm/5vr32s/
来源:力扣(LeetCode)
著作权归作者所有。商业转载请联系作者获得授权,非商业转载请注明出处。
时间复杂度:O(MN),空间复杂度:O(1)。
剑指 Offer 46. 把数字翻译成字符串
难度:中等

- 状态定义:设动态规划列表 dp,dp[i] 代表以 xi 为结尾的数字的翻译方案数量。
- 转移方程:若 xi 和 xi-1 组成的两位数字可被整体翻译,则 dp[i] = dp[i - 1] + dp[i - 2],否则 dp[i] = dp[i - 1]。

注:当 xi-1 = 0 时,组成的两位数无法被整体翻译(例如 00, 01, 02, ⋯),大于 25 的两位数也无法被整体翻译(例如 26, 27, ⋯),因此区间为 [10, 25]。
- 初始状态:dp[0] = dp[1] = 1,即“无数字”和“第 1 位数字”的翻译方法数量均为 1;
- 返回值:dp[n],即此数字的翻译方案数量;
Q:无数字情况 dp[0] = 1 从何而来?
A:当 num 第 1, 2 位的组成的数字 ∈ [10, 25] 时,显然应有 2 种翻译方法,即 dp[2] = dp[1] + dp[0] = 2,而显然 dp[1] = 1,因此推出 dp[0] = 1。
方法一:字符串遍历
class Solution {
public int translateNum(int num) {
String s = String.valueOf(num);
int a = 1, b = 1;
for(int i = 2; i <= s.length(); i++) {
String tmp = s.substring(i - 2, i);
int c = tmp.compareTo("10") >= 0 && tmp.compareTo("25") <= 0 ? a + b : a;
b = a;
a = c;
}
return a;
}
}
作者:Krahets
链接:https://leetcode.cn/leetbook/read/illustration-of-algorithm/99dnh6/
来源:力扣(LeetCode)
著作权归作者所有。商业转载请联系作者获得授权,非商业转载请注明出处。
时间复杂度:O(N),空间复杂度:O(N)。
方法二:数字求余
class Solution {
public int translateNum(int num) {
int a = 1, b = 1, x, y = num % 10;
while(num > 9) {
num /= 10;
x = num % 10;
int tmp = 10 * x + y;
int c = (tmp >= 10 && tmp <= 25) ? a + b : a;
b = a;
a = c;
y = x;
}
return a;
}
}
作者:Krahets
链接:https://leetcode.cn/leetbook/read/illustration-of-algorithm/99dnh6/
来源:力扣(LeetCode)
著作权归作者所有。商业转载请联系作者获得授权,非商业转载请注明出处。
时间复杂度:O(N),空间复杂度:O(1)。
剑指 Offer 48. 最长不含重复字符的子字符串
难度:中等
- 状态定义:设动态规划列表 dp,dp[j] 代表以字符 s[j] 为结尾的 “最长不重复子字符串” 的长度。
- 转移方程:固定右边界 j,设字符 s[j] 左边距离最近的相同字符为 s[i],即 s[i] = s[j]。
-
- 当 i < 0,即 s[j] 左边无相同字符,则 dp[j] = dp[j-1] + 1;
- 当 dp[j - 1] < j - i,说明字符 s[i] 在子字符串 dp[j-1] 区间之外,则 dp[j] = dp[j - 1] + 1;
- 当 dp[j - 1] ≥ j - i,说明字符 s[i] 在子字符串 dp[j-1] 区间之中,则 dp[j] 的左边界由 s[i] 决定,即 dp[j] = j - i;
当 i < 0 时,由于 dp[j - 1] ≤ j 恒成立,因而 dp[j - 1] < j - i 恒成立,因此分支 1. 和 2. 可被合并。

- 返回值:max(dp),即全局的“最长不重复子字符串”的长度。
方法一:动态规划 + 哈希表
class Solution {
public int lengthOfLongestSubstring(String s) {
Map<Character, Integer> dic = new HashMap<>();
int res = 0, tmp = 0, len = s.length();
for(int j = 0; j < len; j++) {
int i = dic.getOrDefault(s.charAt(j), -1); // 获取索引 i
dic.put(s.charAt(j), j); // 更新哈希表
tmp = tmp < j - i ? tmp + 1 : j - i; // dp[j - 1] -> dp[j]
res = Math.max(res, tmp); // max(dp[j - 1], dp[j])
}
return res;
}
}
作者:Krahets
链接:https://leetcode.cn/leetbook/read/illustration-of-algorithm/5dz9di/
来源:力扣(LeetCode)
著作权归作者所有。商业转载请联系作者获得授权,非商业转载请注明出处。
时间复杂度:O(N),空间复杂度:O(1)。
(字符的 ASCII 码范围为 0 ~ 127 ,哈希表 dic 最多使用 O(128) = O(1) 大小的额外空间)
方法二:双指针 + 哈希表
与方法一本质等价,不同点在于左边界 i 的定义不同。
class Solution {
public int lengthOfLongestSubstring(String s) {
Map<Character, Integer> dic = new HashMap<>();
int i = -1, res = 0, len = s.length();
for(int j = 0; j < len; j++) {
if(dic.containsKey(s.charAt(j)))
i = Math.max(i, dic.get(s.charAt(j))); // 更新左指针 i
dic.put(s.charAt(j), j); // 哈希表记录
res = Math.max(res, j - i); // 更新结果
}
return res;
}
}
作者:Krahets
链接:https://leetcode.cn/leetbook/read/illustration-of-algorithm/5dz9di/
来源:力扣(LeetCode)
著作权归作者所有。商业转载请联系作者获得授权,非商业转载请注明出处。
时间复杂度:O(N),空间复杂度:O(1)。
剑指 Offer 19. 正则表达式匹配
难度:困难
总体思路是从 s[:1] 和 p[:1] 是否能匹配开始判断,每轮添加一个字符并判断是否能匹配,直至添加完整个字符串 s 和 p。展开来看,假设 s[:i] 与 p[:j] 可以匹配,那么下一状态有两种:
- 添加一个字符 si+1 后是否能匹配?
- 添加字符 pj+1 后是否能匹配?

因此,本题的状态共有 m × n 种,应定义状态矩阵 dp,dp[i][j] 代表 s[:i] 与 p[:j] 是否可以匹配。
做好状态定义,接下来就是根据「普通字符」,「.」,「*」三种字符的功能定义,分析出动态规划的转移方程。
动态规划解析:
-
状态定义:设动态规划矩阵 dp,dp[i][j] 代表字符串 s 的前 i 个字符和 p 的前 j 个字符能否匹配。
- 转移方程:需要注意,由于 dp[0][0] 代表的是空字符的状态, 因此 dp[i][j] 对应的添加字符是 s[i - 1] 和 p[j - 1]。
-
当 p[j - 1] = '*' 时, dp[i][j] 在当以下任一情况为 true 时等于 true:
-
dp[i][j - 2]:即将字符组合 p[j - 2] * 看作出现 0 次时,能否匹配;
-
dp[i - 1][j] 且 s[i - 1] = p[j - 2]:即让字符 p[j - 2] 多出现 1 次时,能否匹配;
-
dp[i - 1][j] 且 p[j - 2] = '.':即让字符 '.' 多出现 1 次时,能否匹配;
-
-
当 p[j - 1] != '*' 时, dp[i][j] 在当以下任一情况为 true 时等于 true:
-
dp[i - 1][j - 1] 且 s[i - 1] = p[j - 1]:即让字符 p[j - 1] 多出现一次时,能否匹配;
-
dp[i - 1][j - 1] 且 p[j - 1] = '.':即将字符 . 看作字符 s[i - 1] 时,能否匹配;
-
-
- 初始化:需要先初始化 dp 矩阵首行,以避免状态转移时索引越界。
- dp[0][0] = true:代表两个空字符串能够匹配。
- dp[0][j] = dp[0][j - 2] 且 p[j - 1] = '*':首行 s 为空字符串,因此当 p 的偶数位为 * 时才能够匹配(即让 p 的奇数位出现 0 次,保持 p 是空字符串)。因此,循环遍历字符串 p,步长为 2(即只看偶数位)。
-
返回值:dp 矩阵右下角字符,代表字符串 s 和 p 能否匹配。
class Solution {
public boolean isMatch(String s, String p) {
int m = s.length() + 1, n = p.length() + 1;
boolean[][] dp = new boolean[m][n];
dp[0][0] = true;
for(int j = 2; j < n; j += 2)
dp[0][j] = dp[0][j - 2] && p.charAt(j - 1) == '*';
for(int i = 1; i < m; i++) {
for(int j = 1; j < n; j++) {
dp[i][j] = p.charAt(j - 1) == '*' ?
dp[i][j - 2] || dp[i - 1][j] && (s.charAt(i - 1) == p.charAt(j - 2) || p.charAt(j - 2) == '.') :
dp[i - 1][j - 1] && (p.charAt(j - 1) == '.' || s.charAt(i - 1) == p.charAt(j - 1));
}
}
return dp[m - 1][n - 1];
}
}
作者:Krahets
链接:https://leetcode.cn/leetbook/read/illustration-of-algorithm/9aysri/
来源:力扣(LeetCode)
著作权归作者所有。商业转载请联系作者获得授权,非商业转载请注明出处。
时间复杂度:O(MN),空间复杂度:O(MN)。
剑指 Offer 49. 丑数
难度:中等
丑数的递推性质:丑数只包含因子 2, 3, 5,因此有“丑数 = 某较小丑数 × 某因子”(例如:10 = 5 × 2)。
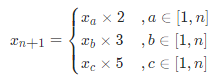
设已知长度为 n 的丑数序列 x1, x2, …, xn,求第 n+1 个丑数 xn+1。根据递推性质,丑数 xn+1 只可能是以下三种情况其中之一(索引 a, b, c 为未知数):

丑数递推公式: 若索引 a, b, c 满足以上条件,则下个丑数 xn+1 为以下三种情况中的最小值;

由于 xn+1 是 最接近 xn 的丑数,因此索引 a, b, c 需满足以下条件:


因此,可设置指针 a, b, c 指向首个丑数(即 1),循环根据递推公式得到下个丑数,并每轮将对应指针执行 +1 即可。
动态规划解析:
- 状态定义:设动态规划列表 dp,dp[i] 代表第 i + 1 个丑数;
- 转移方程:
- 当索引 a, b, c 满足以下条件时, dp[i] 为三种情况的最小值;
- 每轮计算 dp[i] 后,需要更新索引 a, b, c 的值,使其始终满足方程条件。实现方法:分别独立判断 dp[i] 和 dp[a] × 2, dp[b] × 3, dp[c] × 5 的大小关系,若相等则将对应索引 a, b, c 加 1;

- 初始状态:dp[0] = 1,即第一个丑数为 1;
- 返回值:dp[n-1],即返回第 n 个丑数;
class Solution {
public int nthUglyNumber(int n) {
int a = 0, b = 0, c = 0;
int[] dp = new int[n];
dp[0] = 1;
for(int i = 1; i < n; i++) {
int n2 = dp[a] * 2, n3 = dp[b] * 3, n5 = dp[c] * 5;
dp[i] = Math.min(Math.min(n2, n3), n5);
if(dp[i] == n2) a++;
if(dp[i] == n3) b++;
if(dp[i] == n5) c++;
}
return dp[n - 1];
}
}
作者:Krahets
链接:https://leetcode.cn/leetbook/read/illustration-of-algorithm/9hq0r6/
来源:力扣(LeetCode)
著作权归作者所有。商业转载请联系作者获得授权,非商业转载请注明出处。
时间复杂度:O(N),空间复杂度:O(N)。
剑指 Offer 60. n 个骰子的点数
难度:中等
方法一:暴力法
暴力法需要遍历所有点数组合,因此时间复杂度为 O(6n),无法接受。
方法二:动态规划
设输入 个骰子的解(即概率列表)为 f(n),其中「点数和」 的概率为 f(n, x)。
假设已知 n - 1 个骰子的解 f(n - 1),此时添加一枚骰子,求 n 个骰子的点数和为 x 的概率 f(n, x)。
当添加骰子的点数为 1 时,前 n - 1 个骰子的点数和应为 x - 1,方可组成点数和 x;同理,当此骰子为 2 时,前 n - 1 个骰子应为 x - 2;以此类推,直至此骰子点数为 6。将这 6 种情况的概率相加,即可得到概率 f(n, x)。递推公式如下所示:

根据以上分析,得知通过子问题的解 f(n - 1) 可递推计算出 f(n),而输入一个骰子的解 f(1) 已知,因此可通过解 f(1) 依次递推出任意解 f(n)。
如下图所示,为 n = 2, x = 7 的递推计算示例。

观察发现,以上递推公式虽然可行,但 f(n - 1, x - i) 中的 x - i 会有越界问题。
如下图所示,以上递推公式是“逆向”的,即为了计算 f(n, x),将所有与之有关的情况求和;而倘若改换为“正向”的递推公式,便可解决越界问题。

具体来看,由于新增骰子的点数只可能为 1 至 6,因此概率 f(n - 1, x) 仅与 f(n, x + 1), f(n, x + 2), ... , f(n, x + 6) 相关。因而,遍历 f(n - 1) 中各点数和的概率,并将其相加至 f(n) 中所有相关项,即可完成 f(n - 1) 至 f(n) 的递推。
class Solution {
public double[] dicesProbability(int n) {
double[] dp = new double[6];
Arrays.fill(dp, 1.0 / 6.0);
for (int i = 2; i <= n; i++) {
double[] tmp = new double[5 * i + 1];
for (int j = 0; j < dp.length; j++) {
for (int k = 0; k < 6; k++) {
tmp[j + k] += dp[j] / 6.0;
}
}
dp = tmp;
}
return dp;
}
}
作者:Krahets
链接:https://leetcode.cn/leetbook/read/illustration-of-algorithm/ozsdss/
来源:力扣(LeetCode)
著作权归作者所有。商业转载请联系作者获得授权,非商业转载请注明出处。
时间复杂度:O(N2),空间复杂度:O(N)。

浙公网安备 33010602011771号