斐波那契数列问题的递归和动态规划
斐波那契数列问题的递归和动态规划
题目:斐波那契数 & 爬楼梯 & 斐波那契数列问题的递归和动态规划3
《程序员代码面试指南》第56题 P179 难度:将★★★★
这三个问题本质上都是斐波那契数列的问题。
首先是基本的斐波那契数问题。一共有三种解法。
第一种时间复杂度为O(2N),即暴力递归。(也是我解题时想到的方法)
public int f1(int n) {
if (n < 1) {
return 0;
}
if (n == 1 || n == 2) {
return 1;
}
return f1(n - 1) + f1(n - 2);
}
第二种时间复杂度为O(N),从左到右依次求出每一项的值。
public int f2(int n) {
if (n < 1) {
return 0;
}
if (n == 1 || n == 2) {
return 1;
}
int res = 1;
int pre = 1;
int tmp = 0;
for (int i = 3; i <= n; i++) {
tmp = res;
res = res + pre;
pre = tmp;
}
return res;
}
第三种时间复杂度为O(logN),详细解释见斐波那契数-官方题解,用了一种叫矩阵快速幂的方法。
可以得出如下的递推关系

因此

然后该问题就转化为了如何用最快的方法求一个矩阵N次方的问题。
这里举个例子:75的二进制数是1001011,10的75次方=1064×108×102×101。
我们可以先求出101,再求出102,然后104……直到1064。即75的二进制数形式有多少位,我们就使用了几次乘法。
同时,应当把需要累乘的数相乘。1064、108、102、101应该累乘,1032、1016、104不应该累乘。应该累乘的幂64、8、2、1对于75二进制数中的1,不应该累乘的幂对应75二进制数中的0。
对矩阵来说同理,求矩阵m的p次方参照如下matrixPower方法,muliMatrix方法是两个矩阵相乘的具体实现。
public int[][] matrixPower(int[][] m, int p) {
int[][] res = new int[m.length][m[0].length];
// 先把res设为单位矩阵,相等于整数中的1。
for (int i = 0; i < res.length; i++) {
res[i][i] = 1;
}
int[][] tmp = m;
for (; p != 0; p >>= 1) {
if ((p & 1) != 0) {
res = muliMatrix(res, tmp);
}
tmp = muliMatrix(tmp, tmp);
}
return res;
}
public int[][] muliMatrix(int[][] m1, int[][] m2) {
int[][] res = new int[m1.length][m2[0].length];
for (int i = 0; i < m1.length; i++) {
for (int j = 0; j < m2[0].length; j++) {
for (int k = 0; k < m2.length; k++) {
res[i][j] += m1[i][k] * m2[k][j];
}
}
}
return res;
}
方法三的全部过程如下:
public int f3(int n) {
if (n < 1) {
return 0;
}
if (n == 1 || n == 2) {
return 1;
}
int[][] base = { { 1, 1 }, { 1, 0 } };
int[][] res = matrixPower(base, n - 2);
return res[0][0] + res[1][0];
}
对于爬楼梯问题,本质还是基本的斐波那契数列,只不过初始项不同:S(1)=1,S(2)=2。
public int s3(int n) {
if (n < 1) {
return 0;
}
if (n == 1 || n == 2) {
return n;
}
int[][] base = { { 1, 1 }, { 1, 0 } };
int[][] res = matrixPower(base, n - 2);
return 2 * res[0][0] + res[1][0];
}
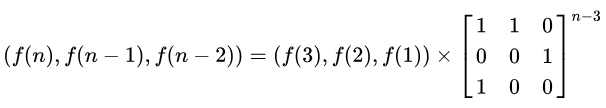
至于母牛生产问题,首先推导出递推数列C(n)=C(n-1)+C(n-3),可以理解为C(n) = [C(n-1)-C(n-3)] + 2C(n-3)。
其中2C(n-3)为3年前的全部母牛(第n年时已经成熟)在第n年生产了C(n-3),加上它们自身,即为2C(n-3)。
而在第n-1年时,比第n-3年多出来的母牛为不成熟母牛,即C(n-1)-C(n-3),它们在第n年虽然不生产,但是也是总数量的一部分。
最终就得到了递推数列C(n) = [C(n-1)-C(n-3)] + 2C(n-3) = C(n-1) + C(n-3)。
这是一个三阶递推数列,公式如下:

(注意,矩阵在×号左右移动时需要进行转置)
public int c3(int n) {
if (n < 1) {
return 0;
}
if (n == 1 || n == 2 || n == 3) {
return n;
}
int[][] base = { { 1, 1, 0 }, { 0, 0, 1 }, { 1, 0, 0 } };
int[][] res = matrixPower(base, n - 3);
return 3 * res[0][0] + 2 * res[1][0] + res[2][0];
}

浙公网安备 33010602011771号