论文研读_通过具有可扩展的小子种群的协方差矩阵适应性进化策略解决大规模多目标优化问题S3-CMA-ES(未完成)
论文研读_通过具有可扩展的小子种群的协方差矩阵适应性进化策略解决大规模多目标优化问题
创新点
- 随着目标或决策变量的数量增加,收敛性和多样性之间的冲突变得更为严重,因此在它们之间取得平衡变得越来越困难。此时S 3 -CMA-ES,它使用一系列子种群来近似LSMOPs的PFs,并强调不同子种群间的多样性,这对收敛性和多样性都有益。
公式
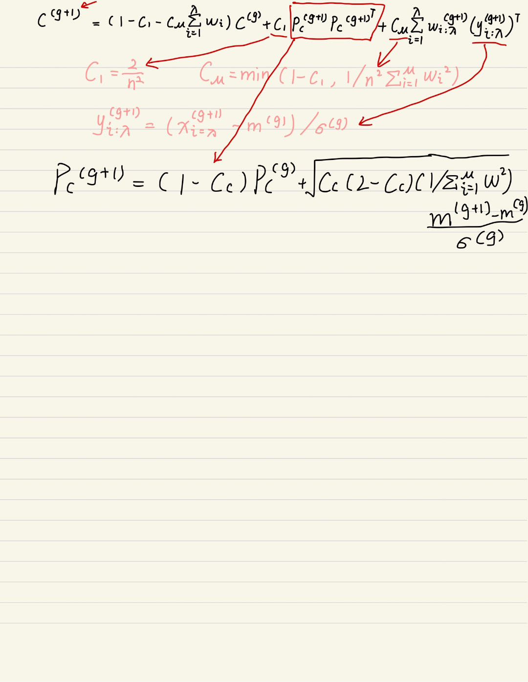
作为一个对称阵,协方差矩阵 C 有下列良好的性质:
- C 始终是对角阵
- C 始终是半正定矩阵
- 所有的特征值都是非负实数
- 所有特征值都是正交的
- C 的特征向量可以组成 Rn 的一个标准正交基


- 单个步骤相互抵消,因此演化路径较短 σ减小
- 单个步骤不相关
- 单个步骤指向相同的方向,因此进化路径很长 σ增加


算法
-
算法一
![]()
M × |GroupSet|的矩阵EP用于记录CMA-ES的参数(即,m (g) , σ (g) 和 C (g) )
-
![]()
行15-25:使用CMA-ES对每个子群体中的每组与收敛相关的变量进行演化,直到所有子群体都收敛
如果这个子群体中所有解决方案的最佳适应度的波动小于预设阈值∆,则定义该子群体已收
敛。
解决方案x的适应度Fit(x)是所有目标的总和,
![]()
![]()
预设阈值∆等值已经给定
-
-
算法二
![]()
-
算法三
![]()
设计了一种环境选择策略来在此循环中选择解
在所提出的环境选择策略中,首先移除组合种群Q中的受支配解
如果非支配解的数量小于N,则保留所有非支配解
否则,选择m个极端解,记为{e 1 ,e 2 ,··· ,e m }(第17行),然后迭代选择Q中多样性最好的解,直到选定的解的数量达到N
其中多样性是通过基于 L0.5 范数的距离来衡量的
欧几里得空间
参考文献:
https://blog.csdn.net/weixin_39478524/article/details/109368216![]






浙公网安备 33010602011771号