【高数小笔记】一道微分运算在微分方程中的应用
最近在复习高数,感觉学校里某些老师讲的依托答辩,果然大学还是得靠自学-_-
偶然从书上发现的一道不错的题:

我就按我的思路细嗦一下:
首先,这看起来并不常规,因为我们发现了
这个项,而这个项所代表的含义则是x关于y的二阶导。我们常见的是形式是
这种,而做一道题就是要将不熟悉的内容转化为自己所熟悉的内容,因此我们可以从微分运算的角度建立这两者的联系。
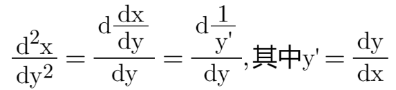
我们熟知:y对x的二阶导其实就是y'对x的一阶导,因此我们就有:

相应的,把上式的y与x调换一下,就变成了题目中的形式:
......(1)
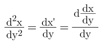
这看起来是不是稍微亲切一些了,因为我们将难以运算的二阶导(d^2/dy^2)转化成了易于运算的一阶导(d/dy),为什么这样就易于运算呢?因为显然:
............(2)
这是处理反函数导数的常用方法,需要熟练运用。
我们将(2)式代入(1):
.......(3)
下面,我们只需要处理
这个奇奇怪怪的东西即可。
因为y=y(x),也即y是x的函数,因此我们可以从求导的方式来帮助我们运算微分,参考下面的计算:
........(4)
然后,我们只需要计算(1/y')'即可,就用我们常用的分式求导公式吧:
........(5)
把(1)~(5)式联立起来,我们就很容易知道
这坨奇奇怪怪的玩意是什么啦!
然后就是一些基础的化简,没啥难度也就不细嗦了。
补个答案:
,顺便放一下课堂ppt给的步骤(不好评价)



浙公网安备 33010602011771号