欧拉路径
1736年29岁的欧拉向圣彼得堡科学院递交了《哥尼斯堡的七座桥》的论文,在解答问题的同时,开创了数学的一个新的分支——图论与拓扑学,也由此展开了数学史上的新历程。
七桥问题提出后,很多人对此很感兴趣,纷纷进行试验,但在相当长的时间里,始终未能解决。欧拉通过对七桥问题的研究,不仅圆满地回答了哥尼斯堡居民提出的问题,而且得到并证明了更为广泛的有关一笔画的三条结论,人们通常称之为“欧拉定理F”。
我们来看一下七桥问题:

问题提出后,很多人对此很感兴趣,纷纷进行试验,但在相当长的时间里,始终未能解决。而利用普通数学知识,每座桥均走一次,那这七座桥所有的走法一共有7 × 6 × 5 × 4 × 3 × 2 × 1 = 5040(种)。而这么多情况,要一一试验,这将会是很大的工作量。其实就是我们的DFS,这样看来虽然只有七次,但其搜索量依然巨大。
我们来看看七桥问题
题目描述
求有向图字典序最小的欧拉路径。
输入格式
第一行两个整数 n,m 表示有向图的点数和边数。
接下来 m 行每行两个整数 u,v 表示存在一条 u→v 的有向边。
输出格式
如果不存在欧拉路径,输出一行 No。
否则输出一行 m+1 个数字,表示字典序最小的欧拉路径。
输入输出样例
输入 #1
4 6
1 3
2 1
4 2
3 3
1 2
3 4
输出 #1
1 2 1 3 3 4 2
输入 #2
5 5
1 2
3 5
4 3
3 4
2 3
输出 #2
1 2 3 4 3 5
输入 #3
4 3
1 2
1 3
1 4
输出 #3
No
很明显,这是一个欧拉路径问题,那么我们看看如何解决这个问题:
半欧拉图:具有欧拉路径但不具有欧拉回路的图
半欧拉图:具有欧拉路径但不具有欧拉回路的图
无向图--有且仅有两个顶点入度是奇数
有向图--有且仅有一个顶点(入度-出度)=1
另有且仅有一个顶点(出度-入度)=1
OK所以做任何欧拉路径的时候我们都应该做一个简单判断:
for (int i = 1; i <= n; i++) {
if (du[i][1] != du[i][0]) {
flag = 0;
if (du[i][1] - du[i][0] == 1 ) cnt[1]++, S = i;
else if (du[i][0] - du[i][1] == 1 ) cnt[0]++;
else return puts("No"), 0;
}
}
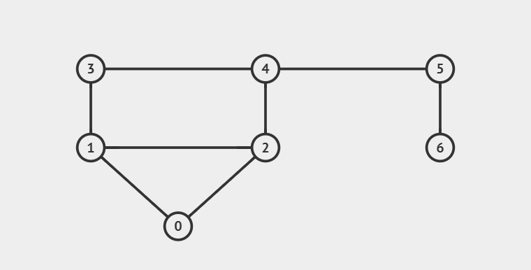
接下来我们来看欧拉路径

在这个图中,我们只需要从某节点开始遍历,接着每走完一步就删除其中的边,当走完某点所有边时候就将该节点放入栈
其中如何实现删除边呢,其实就是避免重复走,假设0点->2点,万一回到1点->0点,我们肯定不会从0点第一个边遍历吧,那么我们就从最后一次0走的边再次遍历。
那么我们可以用如下方式遍历整个图:
void dfs(int now) {
for (int i = del[now]; i < G[now].size(); i = del[now]) {
del[now] = i + 1;
dfs(G[now][i]);
}
st.push(now);
}
其实这个就是核心路径。此时我们的欧拉路径问题已经解决。
而且我们发现,其中的时间复杂度为O(n);

浙公网安备 33010602011771号