第一节 定积分的概念与性质
第一节 定积分的概念与性质
一、定积分问题举例
- 
曲边梯形的面积 
- 
变速直线运行的路程 
二、定积分的定义



- 定积分的值只与被积函数及积分区间有关,而与积分变量的记法无关
定理1 设 \(f(x)\) 在区间 \([a,b]\) 上连续,则 \(f(x)\) 在 \([a,b]\) 上可积.
定理2 设 \(f(x)\) 在区间 \([a,b]\) 上有界,且只有有限个间断点,则 \(f(x)\) 在 \([a,b]\) 上可积
三、定积分的近似计算
矩形法:

梯形法:

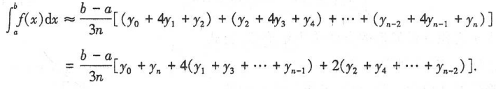
抛物线法:

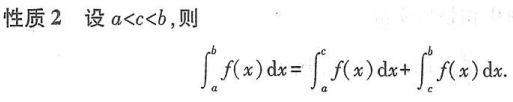
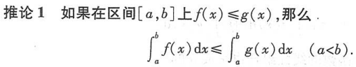
四、定积分的性质








 
                    
                 
                
            
         浙公网安备 33010602011771号
浙公网安备 33010602011771号