会员
众包
新闻
博问
闪存
赞助商
HarmonyOS
Chat2DB
所有博客
当前博客
我的博客
我的园子
账号设置
会员中心
简洁模式
...
退出登录
注册
登录
AngleLin
找到热爱的事情,持续的做下去
博客园
首页
新随笔
联系
订阅
管理
第二节 换元积分法
第二节 换元积分法
一、第一类换元法
技巧:
把分母变为u 就容易化简了。因为不定积分的性质1,加法可以拆开来做
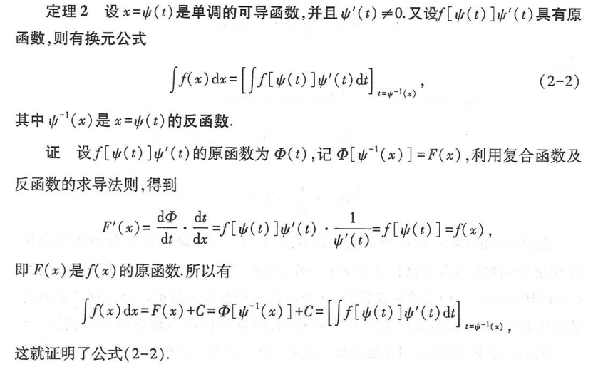
二、第二类换元法
posted @
2024-04-29 17:37
卑以自牧lq
阅读(
51
) 评论(
0
)
收藏
举报
刷新页面
返回顶部
公告