LeetCode 94 二叉树的中序遍历

LeetCode | 94.二叉树的中序遍历

给定一个二叉树的根节点 root ,返回它的 中序 遍历 。

示例 1:

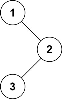
图片名称
输入:root = [1,null,2,3]
输出:[1,3,2]
示例 2:

输入:root = []
输出:[]
示例 3:

输入:root = [1]
输出:[1]

提示:

  • 树中节点数目在范围 [0, 100] 内
  • -100 <= Node.val <= 100

迭代实现:

vector<int> inorderTraversal(TreeNode* root) {
    vector<int> res;
    stack<TreeNode*> st;
    while (!st.empty() || root) {
        while (root) {
            st.push(root); 
            root = root->left;
        }
        root = st.top();
        st.pop();
        res.push_back(root->val);
        root = root->right;
    }
    return res;
}

递归实现:

void helper(TreeNode* root, vector<int> &res) {
    if (root->left) 
        helper(root->left, res);
    res.push_back(root->val);
    if (root->right) 
        helper(root->right, res);
}

vector<int> inorderTraversal(TreeNode* root) {
    if (!root) 
        return {};

    vector<int> res;
    helper(root, res);

    return res;
}

mirrors 算法:
设当前节点为 cur
没有左节点
 直接遍历右节点
有左节点
 找到左节点的最右的子节点
  如果最右节点的右节点为空 (最右节点的右节点不一定为空,因为我们会令它指向 cur 节点)
   令右节点指向 cur, 遍历 cur 的左节点
  如果最右节点的右节点不为空,说明 cur 的左节点已经遍历完
   断开最右节点和 cur 的连接,开始遍历 cur 的右节点

vector<int> inorderTraversal(TreeNode* root) {
    vector<int> res;
    while (root) {
        if (root->left) { // 此时的 root 表示 cur 节点
            TreeNode* rightmost = root->left;
            while (rightmost->right && rightmost->right != root) {
                rightmost = rightmost->right; //找到左节点的最右节点
            }
            if (rightmost->right) { // 最右节点的右节点不为空,cur 节点的左节点遍历完
                res.push_back(rightmost->right->val);
                root = root->right;
                rightmost->right = nullptr;
            } else { // 最右节点为空,令其指向 root,开始遍历左节点
                rightmost->right = root;
                root = root->left;
            }
        } else { // 左节点为空,直接遍历右节点
            res.push_back(root->val);
            root = root->right;
        }
    }
    return res;
}  
posted @ 2023-03-31 17:18  卑以自牧lq  阅读(32)  评论(0)    收藏  举报