随笔分类 - 数学
摘要:6.1 SYMMETRY OF PLANE FIGURES Bilateral, rotational, translational, glide symmetry, and their combinations. 6.2 ISOMETRIES 6.2.1 Def. (Distance, Isome
        阅读全文
                
摘要:题记 说实话这一部分看起来和抽象代数关系不大。但是这一部分涉及了一元向量函数和“矩阵函数”的连续性、求导和常微分方程的计算。常微分方程北航的数学分析使用的是北大伍胜健的教材,是不教微分方程的。另外有刚刚接触的群论在正交变换上的应用和数形结合,因此值得一看。 5.1 ORTHOGONAL MATRIC
        阅读全文
                
摘要:2.1 LAWS OF COMPOSITION Def. (Laws of Composition) Any rule combining pairs of element of \(S\) to get another element of \(S\): \(S\times S \to S\). 
        阅读全文
                
摘要:
        阅读全文
                
摘要:min_25筛 作用及使用条件 可以得到积性函数的单点前缀和。时间复杂度为: \[O(\frac{n^{3/4}}{\log n}+n^{1-\epsilon}) \]由2018年某篇集训队论文证明。具体而言就是当\(n\)趋于无穷时,时间复杂度趋于\(O(n)\)。\(n\)较小时时间复杂度为前者
        阅读全文
                
摘要:普通二次剩余(\(p\)为奇质数) 一、勒让德符号\((\frac{n}{p})\)与欧拉判别 对于正整数\(n\),勒让德符号如下,可直接判别二次剩余: \[\large (\frac{n}{p})=0,n\text{与p同余。} \]\[\large (\frac{n}{p})=1,n\text
        阅读全文
                
摘要:第一类斯特林数(无符号第一类斯特林数)\(\left[ n\atop m\right]\) 表示n个带标号元素划分为m个圆排列(圆排列本身之间不可区分)的方案数。 \[\left[ n\atop m\right]= \left[ n-1\atop m-1\right]+(n-1) \left[ n-
        阅读全文
                
摘要:现在才开始学分治FFT,我在找死 假设左边一半已经算出,那么可以得知这一半对右边每个位置的增量贡献。 正是由于自己不能贡献自己,所以考虑的情况极少。所以mid+1位置在左半边算过之后即为最终答案,同时在其所在的小区间内,这又算是左边已经算出,对右边计算增量贡献,到右边位置极小区间时又发现已经算完。 
        阅读全文
                
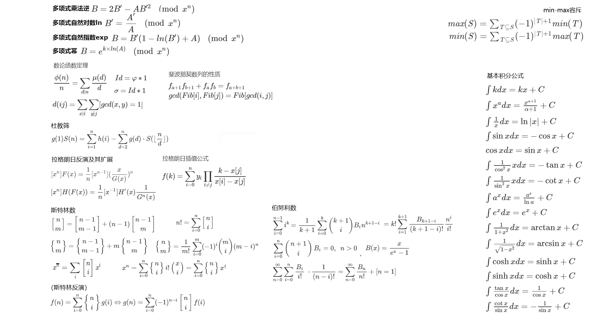
摘要:多项式乘法逆 \[ \large B=2B'-AB'^2 \pmod {x^n} \] 多项式自然对数ln \[ \large B'=\frac{A'}{A} \pmod {x^n} \] 多项式自然指数exp \[ \large B=B'(1-ln(B')+A) \pmod {x^n} \] 多项
        阅读全文
                
摘要:\(\large\int k d x=kx+C\) \(\large\int x^a dx=\frac{x^{\alpha+1}}{\alpha+1}+C\) \(\large\int \frac{1}{x}dx=\ln|x|+C\) \(\large\int\sin xdx=-\cos x+C\)
        阅读全文
                
摘要:数论函数公式 狄利克雷卷积 \[ (f * g)(n)=\sum_{d|n} f(d)g(\frac {n} {d}) \] 莫比乌斯函数及莫比乌斯反演 \[ \mu * 1 = \epsilon \to \sum _ {d|n}\mu(d)=[n=1] \] \[ \large f(n)=\sum
        阅读全文
                

 浙公网安备 33010602011771号
浙公网安备 33010602011771号