MyBatis学习大全(狂神秦疆版)
一、MyBatis
1.什么是Mybaits

- 概念:MyBatis 是一款优秀的持久层框架
- 它支持自定义 SQL、存储过程以及高级映射。
- MyBatis 免除了几乎所有的 JDBC 代码以及设置参数和获取结果集的工作。
- MyBatis 可以通过简单的 XML 或注解来配置和映射原始类型、接口和 Java POJO(Plain Old Java Objects,普通老式 Java 对象)为数据库中的记录。
2.持久化
数据持久化
- 持久化就是将程序的数据在持久状态和瞬时状态转化的过程
- 内存:断电即失
- 数据库(Jdbc),io文件持久化。
- 生活:冷藏、罐头。
为什么需要需要持久化?
- 有一些对象,不能让他丢掉。
- 内存太贵了
3.持久层
Dao层,Service层,Controller层....
- 完成持久化工作的代码块
- 层界限十分明显
4.为什么需要Mybatis?
- 方便
- 传统的JDBC代码太复杂了。简化。框架。自动化。
- 不用Mybatis也可以。更容易上手。技术没有高低之分·
- 优点:
- 简单易学
- 灵活
- sql和代码的分离,提高了可维护性。
- 提供映射标签,支持对象与数据库的orm字段关系映射。
- 提供对象关系映射标签,支持对象关系组建维护
- 提供xml标签,支持编写动态sql。
二、第一个Mybatis程序
思路:搭建环境-->导入Mybatis-->编写程序-->测试!
1.搭建环境
搭建数据库

新建项目
<?xml version="1.0" encoding="UTF-8"?>
<project xmlns="http://maven.apache.org/POM/4.0.0"
xmlns:xsi="http://www.w3.org/2001/XMLSchema-instance"
xsi:schemaLocation="http://maven.apache.org/POM/4.0.0 http://maven.apache.org/xsd/maven-4.0.0.xsd">
<modelVersion>4.0.0</modelVersion>
<groupId>com.Aaron</groupId>
<artifactId>MyBatis-Study</artifactId>
<packaging>pom</packaging>
<version>1.0-SNAPSHOT</version>
<modules>
<module>mybatis-01</module>
</modules>
<!--导入依赖-->
<dependencies>
<!--数据库驱动-->
<dependency>
<groupId>mysql</groupId>
<artifactId>mysql-connector-java</artifactId>
<version>8.0.28</version>
</dependency>
<!--MyBatis-->
<dependency>
<groupId>org.mybatis</groupId>
<artifactId>mybatis</artifactId>
<version>3.5.9</version>
</dependency>
<!--junit-->
<dependency>
<groupId>junit</groupId>
<artifactId>junit</artifactId>
<version>4.12</version>
</dependency>
</dependencies>
</project>
2.创建一个模块
- 编写mybatis的核心配置文件
<?xml version="1.0" encoding="UTF-8" ?>
<!DOCTYPE configuration
PUBLIC "-//mybatis.org//DTD Config 3.0//EN"
"http://mybatis.org/dtd/mybatis-3-config.dtd">
<!--核心配置文件-->
<configuration>
<!--环境-->
<environments default="development">
<environment id="development">
<!--事务管理-->
<transactionManager type="JDBC"/>
<dataSource type="POOLED">
<property name="driver" value="com.mysql.cj.jdbc.Driver"/>
<property name="url" value="jdbc:mysql://localhost:3306/mybatis?useSSL=trie&useUnicode=true&characterEncoding=UTF-8&serverTime=Asia/shanghai"/>
<property name="username" value="root"/>
<property name="password" value="root"/>
</dataSource>
</environment>
</environments>
<mappers>
<mapper resource="org/mybatis/example/BlogMapper.xml"/>
</mappers>
</configuration>
- 编写mybatis工具类
public class MyBatisUtils {
private static SqlSessionFactory sqlSessionFactory;
static {
try {
//获取sqlSessionFactory对象
String resource = "mybatis-config.xml";
InputStream inputStream = Resources.getResourceAsStream(resource);
sqlSessionFactory = new SqlSessionFactoryBuilder().build(inputStream);
} catch (IOException e) {
e.printStackTrace();
}
}
//既然有了 SqlSessionFactory,顾名思义,我们可以从中获得 SqlSession 的实例。
// SqlSession 提供了在数据库执行 SQL 命令所需的所有方法。
public static SqlSession getSqlSession() {
return sqlSessionFactory.openSession();
}
}
3.编写代码
- 实体类
public class user {
private int id;
private String name;
private String password;
public user() {
}
public user(int id, String name, String password) {
this.id = id;
this.name = name;
this.password = password;
}
public int getId() {
return id;
}
public void setId(int id) {
this.id = id;
}
public String getName() {
return name;
}
public void setName(String name) {
this.name = name;
}
public String getPassword() {
return password;
}
public void setPassword(String password) {
this.password = password;
}
@Override
public String toString() {
return "user{" +
"id=" + id +
", name='" + name + '\'' +
", password='" + password + '\'' +
'}';
}
}
- Dao接口
package com.Aaron.dao.User;
import java.util.List;
import com.Aaron.pojo.User;
/**
* @Author: Alskaboo
* @Date: 2022-04-16 15:08
**/
public interface UserDao {
List<User> getUserList();
}
- 接口实现类由原来的impl转换为一个Mapper配置文件
<?xml version="1.0" encoding="UTF-8" ?>
<!DOCTYPE mapper
PUBLIC "-//mybatis.org//DTD Mapper 3.0//EN"
"http://mybatis.org/dtd/mybatis-3-mapper.dtd">
<!--命名空间=绑定一个对应的Dao/Mapper接口-->
<mapper namespace="com.Aaron.dao.User.UserDao">
<select id="getUserList" resultType="com.Aaron.pojo.User">
select * from mybatis.user;
</select>
</mapper>
4.测试
注册配置文件mapper
junit测试
public class UserMapperTest {
@Test
public void test(){
//第一步:获取SqlSession对象
SqlSession sqlSession = MyBatisUtils.getSqlSession();
//方式一执行SQL
UserMapper mapper = sqlSession.getMapper(UserMapper.class);
List<User> userList = mapper.getUserList();
//遍历表格
for (User user : userList) {
System.out.println(user);
}
//关闭SqlSession
sqlSession.close();
}
}
遇到的问题:
- 配置文件没有注册
- 绑定接口错误
- 方法名不对
- 返回类型不对
- Maven导出资源
<!--在build中配置resources,来防止我们资源导出失败的问题-->
<build>
<!-- **.xml写在src找不到问题解决方案 -->
<resources>
<resource>
<!-- directory:指定资源文件的位置 -->
<directory>src/main/java</directory>
<includes>
<!-- “**” 表示任意级目录 “*”表示任意任意文件 -->
<!-- mvn resources:resources :对资源做出处理,先于compile阶段 -->
<include>**/*.properties</include>
<include>**/*.xml</include>
</includes>
<!-- filtering:开启过滤,用指定的参数替换directory下的文件中的参数(eg. ${name}) -->
<filtering>true</filtering>
</resource>
<resource>
<directory>src/main/resources</directory>
<includes>
<include>**/*.properties</include>
<include>**/*.xml</include>
</includes>
<filtering>true</filtering>
</resource>
</resources>
</build>
三、CRUD(增删改查)
1、namespace
namespace中的包名和Mapper接口名字一致!
2、select
选择,查询语句;
- id:就是对应的namespace中的方法名;
- resultType: Sql语句执行的返回值!
- parameterType :参数类型!
public interface UserMapper {
List<User> getUserList();
}
<select id="getUserList" resultType="com.Aaron.pojo.User">
- 编写接口
/**
* 获取全部信息
* @return
*/
List<User> getUserList();
- 编写对应的mapper中的SQL语句
<select id="getUserList" resultType="com.Aaron.pojo.User">
select *
from mybatis.user;
</select>
- 测试
public class UserMapperTest {
@Test
public void test() {
//第一步:获取SqlSession对象
SqlSession sqlSession = MyBatisUtils.getSqlSession();
try{
//方式一:getMapper
UserMapper mapper = sqlSession.getMapper(UserMapper.class);
List<User> userList = mapper.getUserList();
//方式二:
// List<User> userList = sqlSession.selectList("com.Aaron.dao.User.UserMapper.getUserList");
//遍历表格
for (User user : userList) {
System.out.println(user);
}
}catch (Exception e){
e.printStackTrace();
}finally {
//关闭SqlSession
sqlSession.close();
}
}
3、Insert
- 编写接口
/**
* insert一个用户
* @param user
* @return
*/
int addUser(User user);
- 编写对应的mapper中的SQL语句
<insert id="addUser" parameterType="com.Aaron.pojo.User">
insert into mybatis.user(id, name, password) VALUE (#{id}, #{name}, #{password});
</insert>
- 测试
@Test
public void addUser(){
SqlSession sqlSession = MyBatisUtils.getSqlSession();
UserMapper mapper = sqlSession.getMapper(UserMapper.class);
int res = mapper.addUser(new User(4, "小黄", "1314"));
if (res>0){
System.out.println("插入成功");
}else {
System.out.println("插入失败");
}
//提交事务
sqlSession.commit();
sqlSession.close();
}
4、update
- 编写接口
/**
* 修改用户
* @param user
* @return
*/
int updateUser(User user);
- 编写对应的mapper中的SQL语句
<update id="updateUser" parameterType="com.Aaron.pojo.User">
update mybatis.user
set name=#{name},
password=#{password}
where id = #{id};
</update>
- 测试
@Test
public void updateUser(){
SqlSession sqlSession = MyBatisUtils.getSqlSession();
UserMapper mapper = sqlSession.getMapper(UserMapper.class);
mapper.updateUser(new User(4,"小红","2020211891"));
sqlSession.commit();
sqlSession.close();
}
5、Delete
- 编写接口
/**
*
* @param id
* @return
*/
int deleteUser(int id);
- 编写对应的mapper中的SQL语句
<delete id="deleteUser" parameterType="int">
delete
from mybatis.user
where id = #{id};
</delete>
- 测试
@Test
public void deleteUser(){
SqlSession sqlSession = MyBatisUtils.getSqlSession();
UserMapper mapper = sqlSession.getMapper(UserMapper.class);
mapper.deleteUser(4);
sqlSession.commit();
sqlSession.close();
}
注意点:
- 增删改需要提交事务!
6、分析错误
- 标签不要匹配错
- resource绑定mapper,需要使用路径!
- 程序配置文件必须符合规范!
- NullPointerException,没有注册到资源!
- 输出的xml文件中存在中文乱码问题!
- maven资源没有导出问题!
7、万能Map
假设,我们的实体类,或者数据库中的表,字段或者参数过多,我们应当考虑使用Map!
//万能Map
int addUser2(Map<String, Object> map);
<insert id="addUser2" parameterType="map">
insert into mybatis.user(id, name, password) VALUE (#{userid}, #{username}, #{password});
</insert>
@Test
public void addUser2(){
SqlSession sqlSession = MyBatisUtils.getSqlSession();
UserMapper mapper = sqlSession.getMapper(UserMapper.class);
Map<String, Object> map = new HashMap<String, Object>();
map.put("userid",5);
map.put("username","Aaron");
map.put("password","171452");
mapper.addUser2(map);
sqlSession.commit();
sqlSession.close();
}
Map传递参数,直接在sql中取出key即可!【parameterType="map"】
对象传递参数,直接在sql中取对象的属性即可!【parameterType="Object"】
只有一个基本类型参数的情况下,可以直接在sql中取到!
多个参数用Map,或者注解!
8、思考题
模糊查询怎么写?
- Java代码执行的时候,传递通配符%%
List<User> userList = mapper.getUserLike("%李%");
- 在sql拼接中使用通配符!
select * from mybatis.user where name like "%"#{value}"%"
四、配置解析
1、核心配置文件
- mybatis-config.xml
- MyBatis的配置文件包含了会深深影响MyBatis行为的设置和属性
configuration(配置)
properties(属性)
settings(设置)
typeAliases(类型别名)
typeHandlers(类型处理器)
objectFactory(对象工厂)
plugins(插件)
environments(环境配置)
environment(环境变量)
transactionManager(事务管理器)
dataSource(数据源)
databaseIdProvider(数据库厂商标识)
mappers(映射器)
2、环境配置(environments)
- MyBatis 可以配置成适应多种环境
- 不过要记住:尽管可以配置多个环境,但每个 SqlSessionFactory 实例只能选择一种环境。
学会使用配置多套运行环境!
Mybatis默认的事务管理器就是JDBC ,连接池: POOLED
3、属性(properties)
我们可以通过properties属性来实现引用配置文件
这些属性可以在外部进行配置,并可以进行动态替换。你既可以在典型的 Java 属性文件中配置这些属性,也可以在 properties 元素的子元素中设置。【db.properties】

编写一个配置文件
db.properties
driver=com.mysql.cj.jdbc.Driver
url=jdbc:mysql://localhost:3306/mybatis?useSSL=true&useUnicode=true&characterEncoding=UTF-8&serverTime=Asia/shanghai
username=root
password=root
在核心配置文件中映入
<!--引入外部配置文件-->
<properties resource="db.properties ">
<property name="username" value="root" />
<property name="password" value="root"/>
</properties>
- 可以直接引入外部文件
- 可以在其中增加一些属性配置
- 如果两个文件有同一个字段,优先使用外部配置文件的!
4、类型别名(typeAliases)
- 类型别名可为 Java 类型设置一个缩写名字。
- 它仅用于 XML 配置,意在降低冗余的全限定类名书写。
<!--给实体类起别名-->
<typeAliases>
<typeAlias type="com.Aaron.pojo.User" alias="User"/>
</typeAliases>
也可以指定一个包名,MyBatis 会在包名下面搜索需要的 Java Bean
在没有注解的情况下,会使用 Bean 的首字母小写的非限定类名来作为它的别名
<typeAliases>
<package name="com.Aaron.pojo"/>
</typeAliases>
在实体类比较少的时候,使用第一种方式。
如果实体类十分多,建议使用第二种。
第一种可以DIY别名,第二种则不行,如果非要改,需要在实体上增加注解
@Alias("user")
pub1ic class user {
}
5、映射器(mappers)
MapperRegistry:注册我们的Mapper文件
<!--每一个Mapper均需要注册-->
<mappers>
<mapper resource="com/Aaron/dao/UserMapper.xml"/>
<!-- <package name="com.Aaron.dao"/>-->
<!-- <mapper class="com.Aaron.dao"/>-->
</mappers>
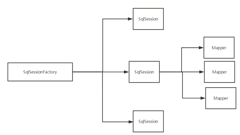
6、生命周期和作用域

生命周期和作用域,是至关重要的,因为错误的使用会导致非常严重的并发问题。
sqlSessionFactoryBuilder:
- 一旦创建了SqlSessionFactory,就不再需要它了
- 局部变量
sqlSessionFactory:
- 数据库连接池
- sqlSessionFactory一旦被创建就应该在应用的运行期间一直存在,没有任何理由丢弃它或重新创建另一个实例。
- 因此 SqlSessionFactory的最佳作用域是应用作用域
- 单例模式或静态单例模式
sqlSession:
- 连接到连接池的一个请求!
- sqlSession的实例不是线程安全的,因此是不能被共享的,所以它的最佳的作用域是请求或方法作用域。
- 用完之后需要赶紧关闭,否则资源被占用!

这里面的每一个Mapper,代表每一个业务!
五、ResultMap
1、数据库中的字段

新建一个项目,但是实体类字段不一样
public class User {
private int id;
private String name;
private String pwd;
}
测试出现问题

select * from mybatis.user where id = #{id};
//类型处理器
select id,name,password from mybatis.user where id = #{id};
解决方法:
- 起别名
<select id="getUserById" parameterType="int" resultType="User">
select id, name, password as pwd
from mybatis.user
where id = #{id};
</select>
2、ResultMap
结果集映射
id name password
id name pwd
<!--结果集映射-->
<resultMap id="UserMap" type="User">
<!--column数据库中的字段,property实体类中的字段名-->
<result column="password" property="pwd"/>
</resultMap>
<select id="getUserById" parameterType="int" resultMap="UserMap">
select *
from mybatis.user
where id = #{id};
</select>
- resultMap元素是MyBatis 中最重要最强大的元素
- ResultMap的设计思想是,对于简单的语句根本不需要配置显式的结果映射,而对于复杂一点的语句只需要描述它们的关系就行了。
六、日志
1、日志工厂
如果数据库出现了异常,我们需要排除,日志就是最好的助手!
曾经:sout debug
现在:日志工厂!

- SLF4J
- LOG4J(重点)
- LOG4J2
- JDK_LOGGING
- COMMONS_LOGGING
- STDOUT_LOGGING(重点)
- NO_LoGGING
在Mybatis中具体使用哪个,在设置中实现!
STDOUT_LOGGING(重点)
在mybatis核心配种文件中,配置我们的日志!
<settings>
<setting name="logImpl" value="STDOUT_LOGGING"/>
</settings>

2、LOG4J
什么是LOG4J?
- Log4j是Apache的一个开源项目,通过使用Log4j,我们可以控制日志信息输送的目的地是控制台、文件、GUI组件
- 我们也可以控制每一条日志的输出格式;
- 通过定义每一条日志信息的级别,我们能够更加细致地控制日志的生成过程。
- 通过一个配置文件来灵活地进行配置,而不需要修改应用的代码。
- 导入LOG4J的Jar包
<dependency>
<groupId>log4j</groupId>
<artifactId>log4j</artifactId>
<version>1.2.17</version>
</dependency>
-
log4j的properties
### 配置根 ### log4j.rootLogger=debug,console ,file ### 配置输出到控制台 ### log4j.appender.console=org.apache.log4j.ConsoleAppender log4j.appender.console.Target=System.out log4j.appender.console.layout=org.apache.log4j.PatternLayout log4j.appender.console.layout.ConversionPattern=[%c] - %m%n ### 配置输出到文件,且大小到达指定尺寸的时候产生一个新的文件 ### log4j.appender.file=org.apache.log4j.RollingFileAppender log4j.appender.file.File=./log/Aaron.log log4j.appender.file.MaxFileSize=10KB log4j.appender.file.Threshold=DEBUG log4j.appender.file.layout=org.apache.log4j.PatternLayout log4j.appender.file.layout.ConversionPattern=[%p][%d{yy-MM-dd}][%c]%m%n ### 配置输出级别 ### log4j.logger.org.mybatis=DEBUG log4j.logger.java.sql=DEBUG log4j.logger.java.Statement=DEBUG log4j.logger.java.ResultSet=DEBUG log4j.logger.java.PreparedStatement=DEBUG -
log4j的配置实现
<settings>
<setting name="logImpl" value="LOG4J"/>
</settings>
- log4j的使用
- 简单测试
- 导入包import org.apache.log4j.Logger;
- 日志对象,参数为当前类的class
static Logger logger = Logger.getLogger(UserMapperTest.class);
- 日志级别
logger.info("info:进入了testLog4j");
logger.debug("debug:进入了testLog4j");
logger.error("error:进入了testLog4j");
七、分页
为什么要分页:减少数据的处理量
1、使用Limit分页
语法:SELECT * from user limit startIndex,pageSize;
SELECT * from user limit 4; #[0,n]
使用Mybatis实现分页,核心SQL
- 接口
List<User> getUserByLimit(HashMap<String, Integer> map);
- Mapper.XML
<select id="getUserByLimit" parameterType="map" resultMap="UserMap">
select * from mybatis.user limit #{startIndex},#{pageSize}
</select>
- 测试
static Logger logger = Logger.getLogger(UserMapperTest.class);
@Test
public void getUserByLimit(){
SqlSession sqlSession = MyBatisUtils.getSqlSession();
UserMapper mapper = sqlSession.getMapper(UserMapper.class);
HashMap<String, Integer> map = new HashMap<String, Integer>();
map.put("startIndex",0);
map.put("pageSize",2);
List<User> userList = mapper.getUserByLimit(map);
for (User user : userList) {
System.out.println(user);
}
}
2、RowBounds分页
不在使用SQL实现分页
- 接口
List<User> getUserByRowBounds();
- mapper.xml
<select id="getUserByRowBounds" resultMap="UserMap">
select *
from mybatis.user
</select>
- 测试
3、分页插件
Mybatis插件
八、使用注解开发
1、面向接口编程
- 注解在接口上实现
@Select("select * from user")
List<User> getUserList();
- 需要核心配置文件中绑定接口!
<!--绑定接口-->
<mappers>
<mapper class="com.Aaron.dao.UserMapper"/>
</mappers>
- 测试
本质:反射机制
实现底层:动态代理!

2、Mybatis详细的执行流程
狂神说Mybatis16集,底层原理
3、CRUD
我们可以在工具类创建的时候实现自动提交事务!
public static SqlSession getSqlSession() {
return sqlSessionFactory.openSession(true);//true
}
编写接口
@Select("select * from user")
List<User> getUserList();
@Select("select * from user where id = #{id}")
User getUserById(@Param("id")int id);
@Insert("insert into user(id,name,password) values (#{id}, #{name}, #{password})")
int addUser(User user);
@Update("update user set name=#{name},password=#{password} where id=#{id}")
int updateUser(User user);
@Delete("delete from user where id = #{id}")
int deleteUser(@Param("id") int id);
测试
SqlSession sqlSession = MyBatisUtils.getSqlSession();
UserMapper mapper = sqlSession.getMapper(UserMapper.class);
// User userById = mapper.getUserById(1);
// System.out.println(userById);
// mapper.addUser(new User(12,"小周","1235"));
// mapper.updateUser(new User(5,"小洋","10086"));
// mapper.deleteUser(1);
sqlSession.close();
}
【注意:我们必须要讲接口注册绑定到我们的核心配置文件中!】
<!--绑定接口-->
<mappers>
<mapper class="com.Aaron.dao.UserMapper"/>
</mappers>
4、关于@Param()注解
- 基本类型的参数或者String类型,需要加上
- 引用类型不需要加
- 如果只有一个基本类型的话,可以忽略,但是建议大家都加上!
- 我们在SQL中引用的就是我们这里的@Param()中设定的属性名!
#{} 和 ${}的区别
九、Lombok插件
使用步骤:
-
在IDEA中安装Lombok插件!
-
在项目中导入lombok的jar包
<dependency>
<groupId>org.projectlombok</groupId>
<artifactId>lombok</artifactId>
<version>1.18.16</version>
</dependency
- 使用注解
@Getter and @Setter
@FieldNameConstants
@ToString
@EqualsAndHashCode
@AllArgsConstructor, @RequiredArgsConstructor and @NoArgsConstructor
@Log, @Log4j, @Log4j2, @Slf4j, @XSlf4j, @CommonsLog, @JBossLog, @Flogger, @CustomLog
@Data
@Builder
@SuperBuilder
@Singular
@Delegate
@Value
@Accessors
@Wither
@With
@SneakyThrows
@val
@var
experimental @var
@UtilityClass
Lombok config system
解释:
@Data 无参构造,get、set、tostring.hashcode,equals
@NoArgsConstructor
@AllArgsConstructor
@EqualsAndHashCode
@ToString
十、多对一处理
1、测试环境搭建
-
导入lombok
-
导入实体类Teacher(id,name)、Student(id, name,tid)
-
建立Mapper接口
-
建立Mapper.xml文件
-
在核心配置文件中绑定注册我们的Mapper接口或者文件!
-
测试是否成功
2、按照查询嵌套处理
<!--
思路:
1.查询所有的学生信息
2.根据查询出来的学生的tid.寻找对应的老师!
map
-->
<resultMap id="StudentTeacher" type="Student">
<!--复杂的属性,单独处理
对象(老师):association
集合(学生):collection
-->
<association property="teacher" column="tid" javaType="Teacher" select="getTeacherById"/>
</resultMap>
<select id="getStudent" resultMap="StudentTeacher">
select *
from mybatis.student;
</select>
<select id="getTeacherById" resultType="Teacher">
select *
from mybatis.teacher
where id = #{id}
</select>
@Test
public void testStudent(){
SqlSession sqlSession = MyBatisUtils.getSqlSession();
StudentMapper mapper = sqlSession.getMapper(StudentMapper.class);
List<Student> studentList = mapper.getStudent();
for (Student student : studentList) {
System.out.println(student);
}
sqlSession.close();
}
3、按照查询嵌套处理
<!--按照结果嵌套处理-->
<select id="getStudent2" resultMap="StudentTeacher2">
select s.id sId, s.name sName, t.id tId,t.name tName
from mybatis.student s,
mybatis.teacher t
where s.tid = t.id;
</select>
<resultMap id="StudentTeacher2" type="Student">
<result property="id" column="sId"/>
<result property="name" column="sName"/>
<association property="teacher" javaType="Teacher">
<result property="name" column="tName"/>
<result property="id" column="tId"/>
</association>
</resultMap>
@Test
public void testStudent2(){
SqlSession sqlSession = MyBatisUtils.getSqlSession();
StudentMapper mapper = sqlSession.getMapper(StudentMapper.class);
List<Student> studentList = mapper.getStudent2();
for (Student student : studentList) {
System.out.println(student);
}
sqlSession.close();
}
十一、一对多处理
比如:一个老师拥有多个学生!
1、环境搭建
实体类
@Data
@AllArgsConstructor
@NoArgsConstructor
public class Student {
private int id;
private String name;
//学生需要关联一个老师
private int tid;
}
@Data
@AllArgsConstructor
@NoArgsConstructor
public class Teacher {
private int id;
private String name;
private List<Student> students;
}
2、按照结果嵌套处理
<select id="getTeacher" resultMap="TeacherStudent">
select s.id sid, s.name sname, t.name tname, t.id tid
from mybatis.teacher t,
mybatis.student s
where s.tid = t.id
and t.id = #{tid}
</select>
<resultMap id="TeacherStudent" type="Teacher">
<result property="id" column="tid"/>
<result property="name" column="tname"/>
<!--复杂的属性,我们需要单独处理
对象:association 集合:collection
javaType="”指定属性的类型!
集合中的泛型信息,我们使用ofType获取
-->
<collection property="students" ofType="Student">
<result property="id" column="sid"/>
<result property="name" column="sname"/>
<result property="tid" column="tid"/>
</collection>
</resultMap>
3、按照查询嵌套处理
<select id="getTeacher2" resultMap="TeacherStudent2">
select * from mybatis.teacher where id = #{tid}
</select>
<resultMap id="TeacherStudent2" type="Teacher">
<collection property="students" javaType="ArrayList" ofType="Student" select="getStudentByTeacherId" column="id"/>
</resultMap>
<select id="getStudentByTeacherId" resultType="Student">
select * from mybatis.student where id = #{tid}
</select>
小结
-
关联– association【多对一】
-
集合- collection【一对多】
-
javaType & ofType
-
JavaType 用来指定实体类中属性的类型
-
ofType 用来指定映射到List或者集合中的pojo类型,泛型中的约束类型!
注意点:
- 保证SQL的可读性,尽量保证通俗易懂
- 注意一对多和多对一中,属性名和字段的问题!
- 如果问题不好排查错误,可以使用日志,建议使用Log4j
面试高频
- Mysql引擎:Innodb MyISAM MEMORY MERGE
- lnnoDB底层原理
- 索引
- 索引优化!
十二、动态SQL
什么是动态SQL:动态SQL就是指根据不同的条件生成不同的SQL语句
利用动态SQL这一特性可以彻底摆脱这种痛苦。
动态sQL元素和JSTL或基于类似 XML的文本处理器相似。在MyBatis之前的版本中,有很多元素需要花时间了解。MyBatis 3大大精简了元素种类,现在只需学习原来一半的元素便可。MyBatis采用功能强大的基于OGNL的表达式来淘汰其它大部分元素。
if
choose (when,otherwise)
trim (where,set)
foreach
1、搭建环境
CREATE TABLE `blog`(
`id` VARCHAR(50) NOT NULL COMMENT '博客id',
`title` VARCHAR(100) NOT NULL COMMENT '博客标题',
`author` VARCHAR(30) NOT NULL COMMENT '博客作者',
`create_time` datetime NOT NULL COMMENT '创建时间',
`views` INT(30) NOT NULL COMMENT '浏览量'
)ENGINE=INNODB DEFAULT CHARSET=UTF8
创建一个基础工程
- 导包
- 编写配置文件
- 编写实体类
@Data
@AllArgsConstructor
@NoArgsConstructor
public class blog {
private int id;
private String title;
private String author;
private Date createTime;
private int views;
}
- 编写实体类对应Mapper接口和Mapper.XML文件
插入数据
//插入数据
int addBolg(Blog blog);
<insert id="addBolg" parameterType="blog">
insert into mybatis.blog(id, title, author, create_time, views)
VALUE (#{id}, #{title}, #{author}, #{createTime}, #{views});
</insert>
@Test
public void addBlogTest(){
SqlSession sqlSession = MyBatisUtils.getSqlSession();
BlogMapper mapper = sqlSession.getMapper(BlogMapper.class);
Blog blog = new Blog();
blog.setId(IDUtils.getId());
blog.setTitle("Mybatis如此简单");
blog.setAuthor("小菜");
blog.setCreateTime(new Date());
blog.setViews(2020211891);
mapper.addBolg(blog);
blog.setId(IDUtils.getId());
blog.setTitle("Java如此简单");
mapper.addBolg(blog);
blog.setId(IDUtils.getId());
blog.setTitle("Spring如此简单");
mapper.addBolg(blog);
blog.setId(IDUtils.getId());
blog.setTitle("微服务如此简单");
mapper.addBolg(blog);
sqlSession.close();
}
2、If
List<Blog> queryBlogIf(Map map);
<select id="queryBlogIf" parameterType="map" resultType="blog">
select * from mybatis.blog where 1=1
<if test="title != null">
and title = #{title}
</if>
<if test="author != null">
and title = #{author}
</if>
</select>
test
@Test
public void queryBlogIf(){
SqlSession sqlSession = MyBatisUtils.getSqlSession();
BlogMapper mapper = sqlSession.getMapper(BlogMapper.class);
HashMap map = new HashMap();
map.put("title","Java如此简单");
map.put("author","小菜");
List<Blog> blogs = mapper.queryBlogIf(map);
for (Blog blog : blogs) {
System.out.println(blog);
}
sqlSession.close();
}
3、choose (when,otherwise)
<select id="queryBlogChoose" resultType="blog" parameterType="map">
select * from mybatis.blog
<where>
<choose>
<when test="title != null">
title = #{title}
</when>
<when test="author != null">
and author = #{author}
</when>
<otherwise>
and views = #{views}
</otherwise>
</choose>
</where>
</select>
@Test
public void queryBlogChoose(){
SqlSession sqlSession = MyBatisUtils.getSqlSession();
BlogMapper mapper = sqlSession.getMapper(BlogMapper.class);
HashMap map = new HashMap();
map.put("title","Java如此简单");
map.put("views",2020211890);
List<Blog> blogs = mapper.queryBlogChoose(map);
for (Blog blog : blogs) {
System.out.println(blog);
}
sqlSession.close();
}
4、trim (where,set)
where
<select id="queryBlogIf" parameterType="map" resultType="blog">
select * from mybatis.blog
<where>
<if test="title != null">
title = #{title}
</if>
<if test="author != null">
and author = #{author}
</if>
</where>
</select>
@Test
public void queryBlogIf(){
SqlSession sqlSession = MyBatisUtils.getSqlSession();
BlogMapper mapper = sqlSession.getMapper(BlogMapper.class);
HashMap map = new HashMap();
map.put("title","Java如此简单");
map.put("author","小菜");
List<Blog> blogs = mapper.queryBlogIf(map);
for (Blog blog : blogs) {
System.out.println(blog);
}
sqlSession.close();
}
set
//修改
int updateBlog(Map map);
<update id="updateBlog" parameterType="map">
update mybatis.blog
<set>
<if test="title != null">
title = #{title},
</if>
<if test="author != null">
author = #{author}
</if>
</set>
where id = #{id}
</update>
@Test
public void updateBlog(){
SqlSession sqlSession = MyBatisUtils.getSqlSession();
BlogMapper mapper = sqlSession.getMapper(BlogMapper.class);
HashMap map = new HashMap();
//map.put("title","微服务如此简单");
map.put("author","小贺");
map.put("id", "53f0d40c77ca4b679711a0950d910591");
//map.put("views",2020211890);
mapper.updateBlog(map);
sqlSession.close();
}
5、sql语句
有的时候,我们可能会将一些功能的部分抽取出来,方便复用!
- 使用SQL标签抽取公共的部分
<sql id="queryBlogIf_Head">
<if test="title != null">
title = #{title}
</if>
<if test="author != null">
and author = #{author}
</if>
</sql>
- 在需要使用的地方使用Include标签引用即可
<select id="queryBlogIf" parameterType="map" resultType="blog">
select * from mybatis.blog
<where>
<include refid="queryBlogIf_Head"></include>
</where>
</select>
注意事项:
- 最好基于单表来定义SQL片段!
- 不要存在where标签
所谓的动态SQL,本质还是SQL语句,只是我们可以在SQL层面,去执行一个逻辑代码
6、foreach
List<Blog> queryBlogForeach(Map map);
<!--
select * from mybatis.blog where 1=1 and (id=1 or id=2 or id=3)
-->
<select id="queryBlogForeach" parameterType="map" resultType="blog">
select * from mybatis.blog
<where>
<foreach collection="ids" item="id" open="and (" close=")" separator="or">
id = #{id}
</foreach>
</where>
</select>
@Test
public void queryBlogForeach(){
SqlSession sqlSession = MyBatisUtils.getSqlSession();
BlogMapper mapper = sqlSession.getMapper(BlogMapper.class);
HashMap map = new HashMap();
ArrayList<Integer> ids = new ArrayList<>();
ids.add(1);
ids.add(2);
ids.add(3);
map.put("ids",ids);
List<Blog> blogs = mapper.queryBlogForeach(map);
for (Blog blog : blogs) {
System.out.println(blog);
}
sqlSession.close();
}
动态SQL就是在拼接SQL语句,我们只要保证SQL的正确性,按照SQL的格式,去排列组合就可以了
十三、缓存
1、简介
-
什么是缓存[Cache]?
- 存在内存中的临时数据。
- 将用户经常查询的数据放在缓存(内存)中,用户去查询数据就不用从磁盘上(关系型数据库数据文件)查询,从缓存中查询,从而提高查询效率,解决了高并发(高并发,高可用,高性能)系统的性能问题。
-
为什么使用缓存?
- 减少和数据库的交互次数,减少系统开销,提高系统效率。
-
什么样的数据能使用缓存?
- 经常查询并且不经常改变的数据。【使用缓存】
2、Mybatis缓存
- MyBatis包含一个非常强大的查询缓存特性,它可以非常方便地定制和配置缓存。缓存可以极大的提升查询效率。
- MyBatis系统中默认定义了两级缓存:一级缓存和二级缓存
- 默认情况下,只有一级缓存开启。(SqlSession级别的缓存,也称为本地缓存)。
- 二级缓存需要手动开启和配置,他是基于namespace级别的缓存。
- 为了提高扩展性,MyBatis定义了缓存接口Cache。我们可以通过实现Cache接口来自定义二级缓存
3、一级缓存
- 一级缓存也叫本地缓存:
- 与数据库同一次会话期间查询到的数据会放在本地缓存中。
- 以后如果需要获取相同的数据,直接从缓存中拿,没必须再去查询数据库;
测试步骤:
- 开启日志!
- 测试在一个Sesion中查询两次相同记录
- 查看日志输出
4、二级缓存
- 二级缓存也叫全局缓存,一级缓存作用域太低了,所以诞生了二级缓存
- 基于namespace级别的缓存,一个名称空间,对应一个二级缓存;
- 工作机制
- 一个会话查询一条数据,这个数据就会被放在当前会话的一级缓存中;
- 如果当前会话关闭了,这个会话对应的一级缓存就没了;但是我们想要的是,会话关闭了,一级缓存中的数据被保存到二级缓存中;
- 新的会话查询信息,就可以从二级缓存中获取内容;
- 不同的mapper查出的数据会放在自己对应的缓存(map)中;
步骤:
- 开启全局缓存
<!--显示开启的全局缓存-->
<setting name="cacheEnabled" value="true"/>
- 在要使用二级缓存的Mapper中开启
<!--在当前的Mapper中开启二级缓存-->
<cache eviction="FIFO"
flushInterval="6_0000"
size="512"
readOnly="true"/>
-
测试
-
问题:我们需要将实体类序列化!否则就会报错!
caused by: java.io.Notserializab1eException: com.kuang.pojo.user
-
小结:
- 只要开启了二级缓存,在同一个Mapper下就有效
- 所有的数据都会先放在一级缓存中;
- 只有当会话提交,或者关闭的时候,才会提交到二级缓存中!
5、缓存原理

6、自定义缓存-ehcache
导包!
<!--缓存-->
<dependency>
<groupId>org.mybatis.caches</groupId>
<artifactId>mybatis-ehcache</artifactId>
<version>1.1.0</version>
</dependency>
在mapper中指定我们的缓存实现
<cache type="org.mybatis.caches.ehcache.EhcacheCache"/>
resources文件下ehcache.xml
<?xml version="1.0" encoding="UTF-8"?>
<ehcache xmlns:xsi="http://www.w3.org/2001/XMLSchema-instance"
xsi:noNamespaceSchemaLocation="http://ehcache.org/ehcache.xsd"
updateCheck="false">
<!--
diskStore:为缓存路径,ehcache分为内存和磁盘两级,此属性定义磁盘的缓存位置。参数解释如下:
user.home – 用户主目录
user.dir – 用户当前工作目录
java.io.tmpdir – 默认临时文件路径
-->
<diskStore path="./tmpdir/Tmp_EhCache"/>
<!--
defaultCache:默认缓存策略,当ehcache找不到定义的缓存时,则使用这个缓存策略。只能定义一个。
-->
<defaultCache
eternal="false"
maxElementsInMemory="10000"
overflowToDisk="false"
diskPersistent="false"
timeToIdleSeconds="1800"
timeToLiveSeconds="259200"
memoryStoreEvictionPolicy="LRU"/>
<!--
name:缓存名称。
maxElementsInMemory:缓存最大数目
maxElementsOnDisk:硬盘最大缓存个数。
eternal:对象是否永久有效,一但设置了,timeout将不起作用。
overflowToDisk:是否保存到磁盘,当系统宕机时
timeToIdleSeconds:设置对象在失效前的允许闲置时间(单位:秒)。仅当eternal=false对象不是永久有效时使用,可选属性,默认值是0,也就是可闲置时间无穷大。
timeToLiveSeconds:设置对象在失效前允许存活时间(单位:秒)。最大时间介于创建时间和失效时间之间。仅当eternal=false对象不是永久有效时使用,默认是0.,也就是对象存活时间无穷大。
diskPersistent:是否缓存虚拟机重启期数据 Whether the disk store persists between restarts of the Virtual Machine. The default value is false.
diskSpoolBufferSizeMB:这个参数设置DiskStore(磁盘缓存)的缓存区大小。默认是30MB。每个Cache都应该有自己的一个缓冲区。
diskExpiryThreadIntervalSeconds:磁盘失效线程运行时间间隔,默认是120秒。
memoryStoreEvictionPolicy:当达到maxElementsInMemory限制时,Ehcache将会根据指定的策略去清理内存。默认策略是LRU(最近最少使用)。你可以设置为FIFO(先进先出)或是LFU(较少使用)。
clearOnFlush:内存数量最大时是否清除。
memoryStoreEvictionPolicy:可选策略有:LRU(最近最少使用,默认策略)、FIFO(先进先出)、LFU(最少访问次数)。
FIFO,first in first out,这个是大家最熟的,先进先出。
LFU, Less Frequently Used,就是上面例子中使用的策略,直白一点就是讲一直以来最少被使用的。如上面所讲,缓存的元素有一个hit属性,hit值最小的将会被清出缓存。
LRU,Least Recently Used,最近最少使用的,缓存的元素有一个时间戳,当缓存容量满了,而又需要腾出地方来缓存新的元素的时候,那么现有缓存元素中时间戳离当前时间最远的元素将被清出缓存。
-->
<cache
name="cloud_user"
eternal="false"
maxElementsInMemory="5000"
overflowToDisk="false"
diskPersistent="false"
timeToIdleSeconds="1800"
timeToLiveSeconds="1800"
memoryStoreEvictionPolicy="LRU"/>
</ehcache>
Redis数据库来做缓存!

浙公网安备 33010602011771号