Codeforces Round #836 (Div. 2) 构造场
今天的CF居然是这样的

全是构造题,顺便把牛客上的一道构造写了
C题待补链接🔗
SSeeeeiinngg DDoouubbllee
题目描述
给你一个字符串,现在将该字符串的每一元素后添加同一个元素,例如字符串 abc 变成 aabbcc,现在让你输出这个字符串重排列后可得到的的回文字符串。
样例 #1
样例输入 #1
4
a
sururu
errorgorn
anutforajaroftuna
样例输出 #1
aa
suurruurruus
rgnororerrerorongr
aannuuttffoorraajjaarrooffttuunnaa
分析:
出现次数>1的放中间,其他首尾安排
#include <bits/stdc++.h>
#include <bits/extc++.h>
using namespace std;
using namespace __gnu_pbds;
#define mst(x, y) memset(x, y, sizeof x)
#define endl '\n'
#define INF LONG_LONG_MAX
#define x first
#define y second
#define int long long
#define Lson u << 1, l, mid
#define Rson u << 1 | 1, mid + 1, r
#define FAST ios::sync_with_stdio(false), cin.tie(0), cout.tie(0)
const int N = 200010, MOD = 1e9 + 7;
const double EPS = 1e-6;
typedef pair<int, int> PII;
typedef unordered_map<int, int> Ump;
int T;
string s;
map<char, int> mp;
void solve()
{
mp.clear();
cin >> s;
s = " " + s;
for (int i = 1; i < s.size(); i++)
{
mp[s[i]]++;
}
for (char i = 'a'; i <= 'z'; i++)
{
if (mp[i] == 1)
cout << i;
}
for (char i = 'a'; i <= 'z'; i++)
{
if (mp[i] > 1)
for (int j = 1; j <= mp[i]; j++)
cout << i;
}
for (char i = 'z'; i >= 'a'; i--)
{
if (mp[i] > 1)
for (int j = 1; j <= mp[i]; j++)
cout << i;
}
for (char i = 'z'; i >= 'a'; i--)
{
if (mp[i] == 1)
cout << i;
}
cout << endl;
}
signed main()
{
FAST;
cin >> T;
while (T--)
solve();
return 0;
}
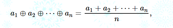
XOR = Average
题目描述
给定一个数 n,让你随便选用 n 个数构造一个序列 a,满足以下条件:

输出序列 a。
样例 # 1
样例输入 #1
3
1
4
3
样例输出 #1
69
13 2 8 1
7 7 7
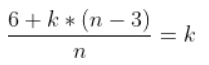
分析:
分奇偶
- 奇数:前 n - 1 个数相同,异或为 0,最后一个数任意取,异或为本身
- 偶数:因为
a ⊕ 0 = a,所以要尽量将奇数个数异或和是 0,容易想到1,2,3异或为 0,ave = 2,按照这样来构造,此时再用相同的数 k 去补充使得前 n - 1 个数异或为 0,由此解
,k = 2,即补 n - 3 个2
#include <bits/stdc++.h>
#include <bits/extc++.h>
using namespace std;
using namespace __gnu_pbds;
#define mst(x, y) memset(x, y, sizeof x)
#define endl '\n'
#define INF LONG_LONG_MAX
#define x first
#define y second
#define int long long
#define Lson u << 1, l, mid
#define Rson u << 1 | 1, mid + 1, r
#define FAST ios::sync_with_stdio(false), cin.tie(0), cout.tie(0)
const int N = 200010, MOD = 1e9 + 7;
const double EPS = 1e-6;
typedef pair<int, int> PII;
typedef unordered_map<int, int> Ump;
int T;
int n;
void solve()
{
cin >> n;
if (n & 1)
{
for (int i = 1; i <= n; i++)
cout << "114514 ";
cout << endl;
}
else
{
if (n == 2)
{
cout << "1 3 " << endl;
}
else
{
cout << "1 2 3 ";
for (int i = 1; i <= n - 3; i++)
{
cout << "2 ";
}
cout << endl;
}
}
}
signed main()
{
FAST;
cin >> T;
while (T--)
solve();
return 0;
}
Range = √Sum
题面翻译
选定 n 个正整数,记作 a1, a2, ... ,an,满足以下条件:
- 1 ≤ ai ≤ 1e9。
- ai 两两不同。

样例 #1
样例输入 #1
3
2
5
4
样例输出 #1
3 1
20 29 18 26 28
25 21 23 31
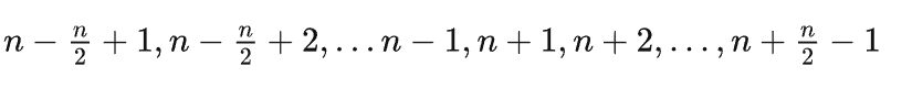
分析:
分奇偶
- 先考虑 n 是偶数的情况,我们可以构造出这样一个局面使得:
sum = n * n,且max - min = n:
这样构造我们发现:按照两端的数两两分组,可以获得 n / 2 组和为 2n 的数,且总和为n^2; - 奇数情况,我们可以考虑在偶数的局面内加上一个数使得其再次满足要求。

#include <bits/stdc++.h>
#include <bits/extc++.h>
using namespace std;
using namespace __gnu_pbds;
#define mst(x, y) memset(x, y, sizeof x)
#define endl '\n'
#define INF LONG_LONG_MAX
#define x first
#define y second
#define int long long
#define Lson u << 1, l, mid
#define Rson u << 1 | 1, mid + 1, r
#define FAST ios::sync_with_stdio(false), cin.tie(0), cout.tie(0)
const int N = 200010, MOD = 1e9 + 7;
const double EPS = 1e-6;
typedef pair<int, int> PII;
typedef unordered_map<int, int> Ump;
int T;
int n;
void solve()
{
cin >> n;
if (n & 1)
{
for (int i = 1; i <= n / 2; i++)
cout << n / 2 + i + 1 << " ";
for (int i = 1; i <= n / 2; i++)
cout << n + i + 2 << " ";
cout << n / 2 + n + 3 << endl;
}
else
{
for (int i = 1; i <= n / 2; i++)
cout << n / 2 + i - 1 << " ";
for (int i = 1; i <= n / 2; i++)
cout << n + i << " ";
cout << endl;
}
}
signed main()
{
FAST;
cin >> T;
while (T--)
solve();
return 0;
}
01树-困难版本
题目描述
链接:https://ac.nowcoder.com/acm/contest/47914/D
来源:牛客网
注意,本题的简单版本与困难版本的区别在于,简单版本中 n 为偶数,要求 0 和 1 的数量相等,而困难版本中 n 为奇数,要求 0 和 1 的数量相差不超过 1。
现有一个 n×n 的方格,保证 n 为奇数,初始时方格的每个格点都为空,你需要在方格的每个格点都填上 0、1 其中一个数字,然后考虑这样一张图:
方格中的每一个格点视为一个点。
两个数字相同的、以边相邻的方格之间视为存在一条边。
你需要构造一个填数方案并输出该 01 方格,满足:
- 这张图中,所有 0 所在格点相互连通,但不能出现环;所有 1 所在格点相互连通,但不能出现环。
- 方格中 0 的数量与方格中 1 的数量相差不超过1。
可以证明,对于任意合法的输入均保证有解。
样例 # 1
样例输入 #1
3
样例输出 #1
111
010
000
提示



分析:
对前n - 2行可以根据简单版来实现,找规律
n = 5:

n = 7:

n = 9:

#include <bits/stdc++.h>
#include <bits/extc++.h>
using namespace std;
using namespace __gnu_pbds;
#define mst(x, y) memset(x, y, sizeof x)
#define endl '\n'
#define INF LONG_LONG_MAX
#define x first
#define y second
#define int long long
#define Lson u << 1, l, mid
#define Rson u << 1 | 1, mid + 1, r
#define FAST ios::sync_with_stdio(false), cin.tie(0), cout.tie(0)
const int N = 200010, MOD = 1e9 + 7;
const double EPS = 1e-6;
typedef pair<int, int> PII;
typedef unordered_map<int, int> Ump;
int T;
int n;
void solve()
{
cin >> n;
for (int i = 1; i <= n; i++)
{
if (i == 1)
{
for (int j = 1; j <= n; j++)
cout << "1";
cout << endl;
}
else if (i == n)
{
for (int j = 1; j <= n; j++)
cout << "0";
cout << endl;
}
else if (i == n - 1)
{
for (int j = 1; j <= n; j++)
{
if (j & 1)
cout << "0";
else
cout << "1";
}
cout << endl;
}
else
{
if (i & 1)
{
for (int j = 1; j <= n; j++)
{
if (j == n)
cout << "0";
else
cout << "1";
}
cout << endl;
}
else
{
for (int j = 1; j <= n; j++)
{
if (j == 1)
cout << "1";
else
cout << "0";
}
cout << endl;
}
}
}
}
signed main()
{
FAST;
cin >> T;
while (T--)
solve();
return 0;
}
奇环
题面翻译
链接:https://ac.nowcoder.com/acm/contest/47914/E
来源:牛客网
n 个点的无向完全图,现从中删除 m 条边,判断删完这 m 条边的图中是否存在奇环。
n 给到了 2e5
分析:
判奇数环二分图染色,二分图无奇数环,重点是不等式优化

#include <bits/stdc++.h>
#include <bits/extc++.h>
using namespace std;
using namespace __gnu_pbds;
#define mst(x, y) memset(x, y, sizeof x)
#define endl '\n'
#define INF LONG_LONG_MAX
#define x first
#define y second
#define int long long
#define Lson u << 1, l, mid
#define Rson u << 1 | 1, mid + 1, r
#define FAST ios::sync_with_stdio(false), cin.tie(0), cout.tie(0)
const int N = 200010, MOD = 1e9 + 7;
const double EPS = 1e-6;
typedef pair<int, int> PII;
typedef unordered_map<int, int> Ump;
int T;
int n, m;
map<PII, int> mp;
int color[N];
bool f;
int h[N], e[N], ne[N], idx;
void add(int a, int b) // 添加一条边a->b
{
e[idx] = b, ne[idx] = h[a], h[a] = idx++;
}
bool dfs(int u, int col)
{
color[u] = col;
for (int i = h[u]; ~i; i = ne[i])
{
int j = e[i];
if (!color[j])
{
if (!dfs(j, 3 - col))
return false;
}
else if (color[j] == col)
return false;
}
return true;
}
void solve()
{
f = true;
mst(h, -1), idx = 0;
mst(color, 0);
mp.clear();
cin >> n >> m;
if (n >= 896) // 妙手优化
{
cout << "YES" << endl;
return;
}
for (int i = 1, a, b; i <= m; i++)
{
cin >> a >> b;
mp[{a, b}] = true, mp[{b, a}] = true;
}
for (int i = 1; i <= n; i++)
{
for (int j = i + 1; j <= n; j++)
{
if (mp[{i, j}])
continue;
add(i, j), add(j, i);
}
}
for (int i = 1; i <= n; i++)
{
if (!color[i])
{
if (!dfs(i, 1))
{
f = false;
break;
}
}
}
if (f)
cout << "NO" << endl;
else
cout << "YES" << endl;
}
signed main()
{
FAST;
cin >> T;
while (T--)
solve();
return 0;
}
4784. 构造序列
请你构造一个 01 序列,序列需要满足以下所有要求:
- 恰好包含 n 个 0 和 m 个 1。
- 不存在两个或两个以上的 0 连续相邻。
- 不存在三个或三个以上的 1 连续相邻。
输入格式
共一行,包含两个整数 n,m。
输出格式
输出共一行,如果存在满足条件的 01 序列,则输出满足条件的 01 序列,否则输出 -1。
如果答案不唯一,则输出任意合理答案均可。
分析:
m >= n - 1 && m <= 2 * (n + 1)
我们以0为基准填补1
无法构成序列的直接弹出 -1
首先判断 1 是否多余,在 0 的前面先填补 1
其次,填 0 ,根据 1 和 0 的个数判断间隔两个 0 之间填 1 的个数
最后剩余的 1 填到最后一个 0 后面
#include <bits/stdc++.h>
#include <bits/extc++.h>
using namespace std;
using namespace __gnu_pbds;
#define mst(x, y) memset(x, y, sizeof x)
#define endl '\n'
#define INF LONG_LONG_MAX
#define x first
#define y second
#define int long long
#define Lson u << 1, l, mid
#define Rson u << 1 | 1, mid + 1, r
#define FAST ios::sync_with_stdio(false), cin.tie(0), cout.tie(0)
const int N = 200010, MOD = 1e9 + 7;
const double EPS = 1e-6;
typedef pair<int, int> PII;
typedef unordered_map<int, int> Ump;
int T;
int a, b;
void solve()
{
cin >> a >> b;
if (b > 2 * a + 2 || b < a - 1) // 无法构成序列的直接弹出 -1
cout << "-1" << endl;
else
{
for (int i = 1; i <= 2; i++) // 首先判断 1 是否多余,在 0 的前面先填补 1
{
if (b > a - 1)
{
cout << "1";
b--;
}
}
while (a) // 填 0
{
cout << "0";
a--;
if (a) // 如果不是最后一个 0 则后面 填 1
{
cout << "1";
b--;
if (b > a - 1) // 根据 1 的个数,判断间隔两个 0 之间填 1 的个数
{
cout << "1";
b--;
}
}
}
while (b) // 将最后剩余的 1 填到最后一个 0 后面
{
cout << "1";
b--;
}
}
}
signed main()
{
FAST;
// cin >> T;
T = 1;
while (T--)
solve();
return 0;
}

浙公网安备 33010602011771号