CF550D Regular Bridge
CF550D Regular Bridge
题目要求必须有桥,于是便从桥入手构造。
显然,由桥分割出来的两个子图是对称的,所以在这里我们只考虑一半。
\(k=1\) 的情况跳过了,\(k=2\) 的情况搞了半天没搞出来,先放着不管,先看看 \(k=3\) 的情况。

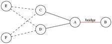
如图,我们为了先满足桥端点的度数达到 \(k\) ,于是便在 A 的另一边接上 C,D 两个结点,但此时 C,D 的又不满足度数为 \(k\) 的限制了,所以我们需要再加入辅助点。
添加两个辅助点 E,F(为什么是两个等会再说)。
为了不破坏 A 的度数,我们将 E,F 与 C,D分别连边。

此时 C,D 的度数刚好为 \(k\) 不用管了,但 E,F 却又不满足度数限制了。没关系,只需在 E,F 之间连一条边即可(所以才要偶数个辅助点,奇数个就会有某一个辅助点度数差 1 )。
于是我们就构造出了 \(k=3\) 的一组解。

为了找到普遍构造规律,在再多试几组数据。
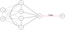
来看 \(k=5\) 的情况,前面的内容与 \(k=3\) 的情况大致相同,直接来到建立两个辅助点之后。

但此时,我们发现红色的点还尚未满足度数限制,我们考虑在这些点之间两两连边。
或许你可能会想到再来 \(2a(a\in \mathbb{N})\) 个辅助点不就行了吗?
但这样的话你就无法确定最终图中点的个数,甚至空间开不下。后面我会证明只需两个辅助点即可。

这样就行了。
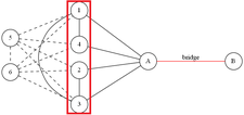
接下来寻找普遍规律,假设现在要求度数为 \(k\) 。
在桥的一侧接上 \(k-1\) 个点,这样我们就满足了桥端点的度数限制。然后再加上两个辅助点,那么我们构造的图一共就有 \((k+2)\cdot2\) 个点,整个图的总度数也就为 \((k+2)\cdot2\cdot k\) ,又因为每条边会带来两个度数,于是共有 \((k+2)\cdot k\) 条边。
由于桥端点和辅助点的限制已经得到满足,我们现在只需考虑在这 \(k-1\) 点(也就是在 \(k=5\) 的例子中所红色框内的这些点)之间的连边。

对于这 \(k-1\) 个点而言,每个点都已经和桥端点、两个辅助点连边,所以此时度数为 \(3\) ,还需连出 \(k-3\) 条边。
能与之相连的点只能在这 \(k-1\) 个点中的除自己以外的 \(k-2\) 个点中(因为辅助点和桥端点的度数都已达到 \(k\) 了),而 \(k-2>k-3\) 所以可以连完 \(k-3\) 条边。(这也就证明了为什么只用两个辅助点就够了)
同时,为了保证这 \(k-1\) 个点中,每个点的度数都能增加到 \(k\),必须保证 \(k-1\) 为偶数(才能成对连边),也就说明了只有 \(k\) 为奇数时才有解。
具体实现可以从完全图中删边达成。
注意 \(k=1\) 的情况需特判。
#include <bits/stdc++.h>
#define re register
//#define int long long
#define mp(a,b) make_pair(a,b)
#define inf 0x3f3f3f
using namespace std;
inline int read()
{
re int x=0,f=1;
re char c=getchar();
while(c<'0'||c>'9'){if(c=='-') f=-1;c=getchar();}
while(c>='0'&&c<='9'){x=(x<<3)+(x<<1)+c-48;c=getchar();}
return x*f;
}
const int N=250,P=998244353;
int k;
bool vis[N][N];
inline void del(int u,int v)//这里保证了u<v,所以只用删单向的
{
vis[u][v]=0;//删除边u->v
vis[u+k+2][v+k+2]=0;//删的同时对称地将另一个子图的边也删掉
}
signed main()
{
memset(vis,1,sizeof(vis));//完全图
k=read();
if(!(k&1)) return puts("NO"),0;
puts("YES");
if(k==1) return printf("2 1\n1 2"),0;
int n=(k+2)*2,m=(k+2)*k;
printf("%d %d\n",n,m);
del(1,k+1),del(1,k+2);//1为桥端点,k+1、k+2为辅助点
for(re int i=2;i<k;i+=2) del(i,i+1);
//以下为输出
for(re int i=1;i<=n;++i)
{
if(i<=k+2)
{
for(re int j=i+1;j<=k+2;++j)
if(vis[i][j])
printf("%d %d\n",i,j);
}
else
{
for(re int j=i+1;j<=n;++j)
if(vis[i][j])
printf("%d %d\n",i,j);
}
}
printf("%d %d",1,1+k+2);//最后连上两个桥端点
return 0;
}

该文不被密码保护。
浙公网安备 33010602011771号