异或(^)的一些知识
在一些题目中,需要用到异或。比如:在一个数组中,有出现偶数次的数,还有出现奇数次的数(简单点,就一个,如果多个还需要补码的知识),如果需要求出来奇数次出现的那个数,正确的解法就是声明一个数,让他循环异或数组里的数,最后的结果就是出现奇数次的数。
for(int i=0;i<arr.length;i++){ t^=arr[i]; }
如果想提取出t最右边的1,可以用下面的公式:
int rightOne = t & (~t + 1);
eor 就是 t
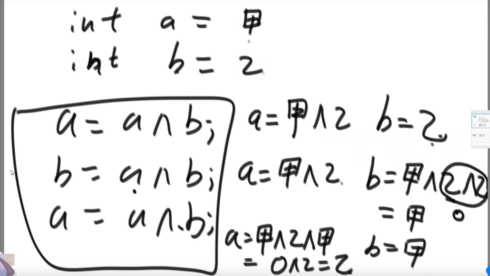
在交换arr的 i 和 j 位置上的值时,我们也可以使用下面这样的语法:
public static void swap(int[] arr,int i,int j){ arr[i] = arr[i]^arr[j]; arr[j] = arr[i]^arr[j]; arr[i] = arr[i]^arr[j]; }
具体推导过程在这张图中,注意 x^x=0 0^x=x

浙公网安备 33010602011771号