issue6:DEEPLY SVM: from basis expansion to kernel
basis是一个具有魔力的东西,在数学中就是如此,他可以把一个函数通过基底变换搞成各种不同的样子,例如平面上的一个圆
,通过X=
,Y=
的基坐标转换,可以变成线性函数。
通常情况下的线性分类器如下:
其中公式中的w和b是模型参数,x是特征,这里虽然是线性模型,但是可以通过将x映射为不用的基函数,可以把线性模型的函数直线打造成曲线的样式。在Andrew Ng的课件中,x称为attribute,而x的映射h(x)称为feature。
基底变换提供了一种把线性不可分变成线性可分的方法,如下:
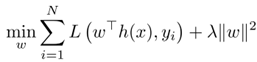
通过研究SVM的优化公式,可以找出一些有趣的fact,通过一系列的数学变换之后,可以得到对偶式:
它的解有如下形式:
直观来说,参数w的解存在于由x张成的实数空间中,因为y是分类值,只取两个不同的值对于二分类问题。可以简单证明,假设w的解超出了x组成的空间,那么w可以表示为
,其中
是x张成空间中的部分,而
是不在x张成空间中的部分,显然,这两部分是正交的。将这个解代入原公式中,可以把正交的部分全部消解掉。
总结上述问题,有如下结论:
Def. 如下一种Mercer核(Mercer核相关知识可以参阅《数据挖掘中的新方法——支持向量机》一书第三章,有详细的证明和解释)
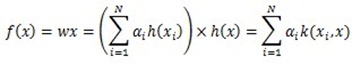
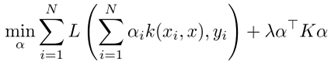
可以把上述优化公式写成核的表示形式:
由以上三个公式,可以把原来w为参数的最优化公式转换为核函数表示的方式。
有上述公式可以看出,只要有了核,我们就不在需要基坐标转换公式h(x)了,因为都可以表示为核的形式。必然可以想象,核是对基坐标转换的一种替代。
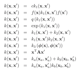
核函数有如下的一些形式:
其中,上部分是生成核函数的基坐标转换函数,从左到右依次是多项式函数、高斯函数和logistic sigmoid函数。下部分是对应的核函数。简单看来,核提供了一种smooth的方法,越是接近中心的值越大,向两侧慢慢减弱,体现了一种平滑的能力。
通常来说,最优化的公式可以通过reformulation转化为不同形式,会有不同认识。
普通的参数形式为
转换为对偶形式有
进一步可以转换为无参(non-parametric)形式
由上面的公式,可以很轻松由对偶形式导出无参形式,不在证明。
其中正则项转变成在核组成的希尔伯特空间中的函数f。这里的正则项表明了选择哪一个f(x)的偏好。即这个优化方式倾向于选择什么样子的预测函数。
由于核的对称半正定特性,可以对其求解特征值与特征向量,假设可以表现为下面的形式:(注意特征分解结果并不和h(x)相同)
那么每个f(x)可以表示成
即把函数拆解到新的坐标系中,新坐标系的坐标是特征向量。
kernel可以看做一种平滑算子,所有的特征向量中越平滑的向量具有越大的特征值,表示他的重要性越高。 (为何越大的特征值具有越好的平滑性)
可见,f(x)中特征值越小的维度,得到的惩罚就越大,可见,正则项倾向于让f(x)最平滑。
可见,选择不同的核函数以及正则项,就是我们对f(x)的不同预期。
所以,可以构造自己的分类器,只要选取了不同的loss function,不同的h(x),不同的维度(有限维或者无限维)以及不同的优化方法。
附:核函数的构造运算法则
![3){T`BPE])JHF@UL@)H}2NT 3){T`BPE])JHF@UL@)H}2NT](https://images.cnblogs.com/cnblogs_com/ASenVJ/201208/20120813095143484.jpg)

















浙公网安备 33010602011771号