LeetCode 剑指offer52
输入两个链表,找出它们的第一个公共节点。
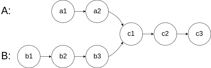
如下面的两个链表:

在节点 c1 开始相交。
示例 1:

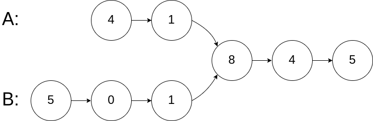
输入:intersectVal = 8, listA = [4,1,8,4,5], listB = [5,0,1,8,4,5], skipA = 2, skipB = 3
输出:Reference of the node with value = 8
输入解释:相交节点的值为 8 (注意,如果两个列表相交则不能为 0)。
从各自的表头开始算起,链表 A 为 [4,1,8,4,5],链表 B 为 [5,0,1,8,4,5]。
在 A 中,相交节点前有 2 个节点;在 B 中,相交节点前有 3 个节点。
示例2:

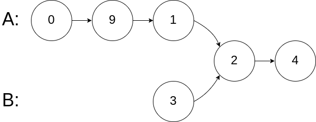
输入:intersectVal = 2, listA = [0,9,1,2,4], listB = [3,2,4], skipA = 3, skipB = 1
输出:Reference of the node with value = 2
输入解释:相交节点的值为 2 (注意,如果两个列表相交则不能为 0)。
从各自的表头开始算起,链表 A 为 [0,9,1,2,4],链表 B 为 [3,2,4]。
在 A 中,相交节点前有 3 个节点;在 B 中,相交节点前有 1 个节点。

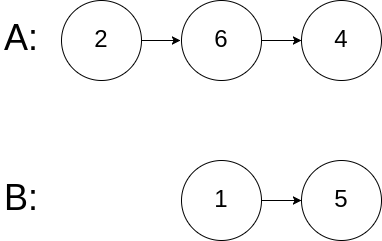
输入:intersectVal = 0, listA = [2,6,4], listB = [1,5], skipA = 3, skipB = 2
输出:null
输入解释:从各自的表头开始算起,链表 A 为 [2,6,4],链表 B 为 [1,5]。
由于这两个链表不相交,所以 intersectVal 必须为 0,而 skipA 和 skipB 可以是任意值。
解释:这两个链表不相交,因此返回 null。
注意:
如果两个链表没有交点,返回 null.
在返回结果后,两个链表仍须保持原有的结构。
可假定整个链表结构中没有循环。
程序尽量满足 O(n) 时间复杂度,且仅用 O(1) 内存。
代码一:
/**
* Definition for singly-linked list.
* struct ListNode {
* int val;
* ListNode *next;
* ListNode(int x) : val(x), next(NULL) {}
* };
*/
class Solution {
public:
ListNode *getIntersectionNode(ListNode *headA, ListNode *headB) {
ListNode *t = headA;
ListNode *s = headB;
while(s!=t)
{
s= s!=NULL ? s->next: headA;
t= t!=NULL ? t->next: headB;
}
return s;
}
};
//A走完A路径,再去走B路径
//B走完B路径,再去走A路径
//如果有公共节点,在公共节点处A==B,跳出循环
//如果没有公共节点,A走完A+B的时候同时B走完B+A,A==B==NULL,跳出循环
代码二:
/**
* Definition for singly-linked list.
* public class ListNode {
* int val;
* ListNode next;
* ListNode(int x) {
* val = x;
* next = null;
* }
* }
*/
public class Solution {
public ListNode getIntersectionNode(ListNode headA, ListNode headB) {
ListNode *t = headA;
ListNode *s = headB;
int count = 0;//记录两个链表的长度差
while(t!=NULL && s!=NULL)
{
t=t->next;
s=s->next;
}
while(t!=NULL)
{
count++;
t=t->next;
}
while(s!=NULL)
{
count--;
s=s->next;
}
//如果A比B长,则多出来的长度为count,如果B比A长,则多出来的长度为-count
t=headA;
s=headB;
while(count > 0 && t != NULL)
{
t=t->next;
count--;
}//如果A比B长,t往右移使得t和s等长
while(count < 0 && s != NULL)
{
s=s->next;
count++;
}//如果B比A长,s往右移使得t和s等长
while(t!=NULL&&s!=NULL&&t!=s)
{//从等长位置出发往前搜索,有交点节点退出循环,没有则执行到最后都是NULL再退出
t=t->next;
s=s->next;
}
return t;
}
};
浙公网安备 33010602011771号