Codeforces Round #678 (Div. 2)------Reorder
题目
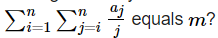
For a given array a consisting of n integers and a given integer m find if it is possible to reorder elements of the array a in such a way that
It is forbidden to delete elements as well as insert new elements. Please note that no rounding occurs during division, for example, 5 / 2=2.5.
Input
The first line contains a single integer t — the number of test cases (1≤t≤100). The test cases follow, each in two lines.
The first line of a test case contains two integers n and m (1≤n≤100, 0≤m≤106). The second line contains integers a1,a2,…,an (0≤ai≤106) — the elements of the array.
Output
For each test case print “YES”, if it is possible to reorder the elements of the array in such a way that the given formula gives the given value, and “NO” otherwise.
样例
//输入:
2
3 8
2 5 1
4 4
0 1 2 3
//输出:
YES
NO
题意
给定一个含有n个元素的数值a,判断是否满足题目中的那个公式,若满足,输出YES,否则输出NO;
题解
公式前几项展开便可发现规律,最后是 
因此,题目简化后就是求数组元素的和是否等于m。
AC代码
#include<iostream>
using namespace std;
int main()
{
int n, m, t;
cin >> t;
while (t--) {
int sum = 0;
cin >> n >> m;
for (int i = 0; i < n; i++) {
int x; cin >> x;
sum += x;
}
if (sum == m)
cout << "YES" << endl;
else
cout << "NO" << endl;
}
return 0;
}
浙公网安备 33010602011771号