支持向量机
支持向量机SVM (Support vector machine)
超平面、间隔
取超平面时间隔最大



升维转换、核技巧(Kernel Trick)


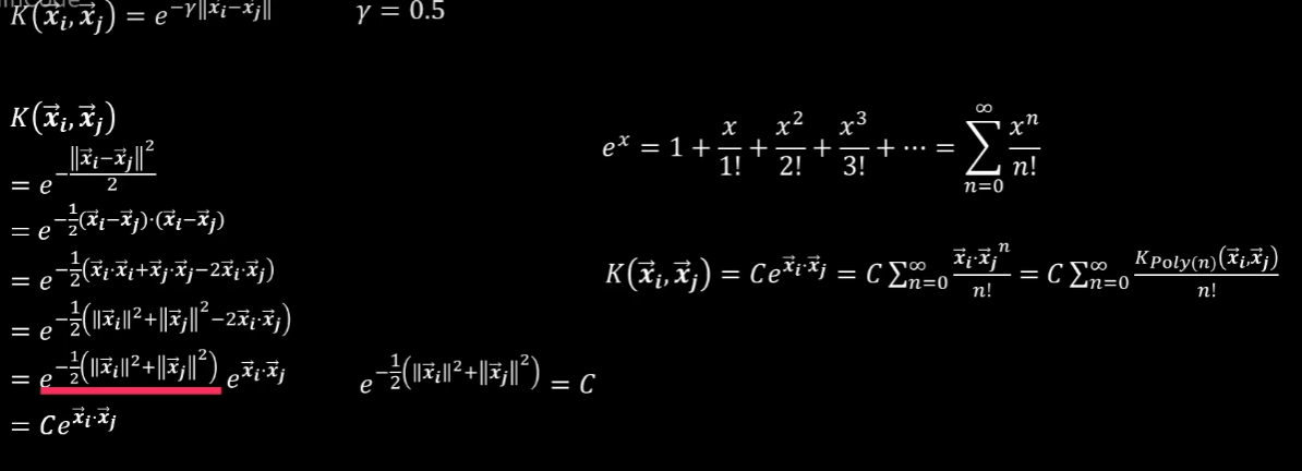
高斯核函数

正负超平面间隔L
取点在正超平面 \(x_m\), 负超平面 \(x_n\), 决策超平面 \(x_p,x_o\)
向量点积 \(\overrightarrow{v}*\overrightarrow{w}=v_1*w_1+v_2*w_2+v_3*w_3=||v||*||w||*\cos{\theta}\)
- \(w_1*x_{1m}+w_2*x_{2m}+b=1\)
- \(w_1*x_{1n}+w_2*x_{2n}+b=-1\)
- ①-②:\(w_1*(x_{1m}-x_{1n})+w_2*(x_{2m}-x_{2n})=2\)
- \(\lrarr\):\(\overrightarrow{w}*(\overrightarrow{x_m}-\overrightarrow{x_n})=2\)

- \(w_1*x_{1p}+w_2*x_{2p}+b=0\)
- \(w_1*x_{1o}+w_2*x_{2o}+b=0\)
- ⑤-⑥:\(w_1*(x_{1p}-x_{1o})+w_2*(x_{2p}-x_{2o})=0\)
- \(\lrarr\):\(\overrightarrow{w}*(\overrightarrow{x_p}-\overrightarrow{x_o})=0\)
两向量点积结果为0,意味这在几何上两向量垂直

\(\because \overrightarrow{x_p}-\overrightarrow{x_o}在决策超平面上,且\overrightarrow{w}与\overrightarrow{x_p}-\overrightarrow{x_o}垂直\)
\(\therefore \overrightarrow{w}与决策超平面垂直\)
\(又\because \overrightarrow{w}*(\overrightarrow{x_m}-\overrightarrow{x_n})=2等价于||\overrightarrow{w}||*||\overrightarrow{x_m}-\overrightarrow{x_n}||*\cos \theta=2,\\ ||\overrightarrow{x_m}-\overrightarrow{x_n}||*\cos \theta为\overrightarrow{x_m}-\overrightarrow{x_n}在\overrightarrow{w}上的投影\)
\(\therefore ||\overrightarrow{x_m}-\overrightarrow{x_n}||*\cos \theta=L,即L=\cfrac{2}{||\overrightarrow{w}||}\)
\(\therefore 若使L最大,则\overrightarrow{w}长度最小\)
已知\(||\overrightarrow{w}||=\sqrt{w_1^2+w_2^2+\dots+w_n^2},\)求最小,可以简化为 \(f(w)=\cfrac{||\overrightarrow{w}||^2}{2}\) (去除根号,除2为了方便求导后约去2)
此时 \(g_i(w,b)=y_i*(\overrightarrow{w}*\overrightarrow{x_i}+b)-1\ge0,i=1,2,\dots,s,s为样本数\)
求f(w)最小,在条件\(g_i(w,b)\)为等式采用拉格朗日乘子法求最小,本条件为不等式。
对\(g_i(w,b)\)转换为等式:\(g_i(w,b)=y_i*(\overrightarrow{w}*\overrightarrow{x_i}+b)-1=p_i^2\ge 0,i=1,2,\dots,s,s为样本数\)
KKT条件证明
问题转换为:求\(f(w)=\cfrac{||\overrightarrow{w}||^2}{2}\)最小值,在\(g_i(w,b)=y_i*(\overrightarrow{w}*\overrightarrow{x_i}+b)-1=p_i^2,i=1,2,\dots,s\)条件下
由拉格朗日乘子法:设\(L(w,b,\lambda_i,p_i)=\cfrac{||\overrightarrow{w}||^2}{2}\ - \displaystyle\sum_{i=1}^{s}\lambda_i*\biggl[y_i*(\overrightarrow{w}*\overrightarrow{x_i}+b)-1-p_i^2\biggr]\)
\(\cfrac{\partial L}{\partial w}=\overrightarrow{w}-\displaystyle\sum_{i=1}^s\lambda_i*y_i*\overrightarrow{x_i}=0\) (L2范式)
\(\cfrac{\partial L}{\partial b}=-\displaystyle\sum_{i=1}^s\lambda_i*y_i=0\)
\(\cfrac{\partial L}{\partial \lambda_i}=-\bigg[y_i(\overrightarrow{w}*\overrightarrow{x_i}+b)-1-p_i^2\bigg]=0\)
\(\cfrac{\partial L}{\partial p_i}=2*\lambda_i*p_i=0\)
由4知:\(2*\lambda_i*p_i=0\rArr\lambda_i*p_i^2=0\)
由3等号两边同乘\(\lambda_i\):\(\lambda_i\bigg[y_i(\overrightarrow{w}*\overrightarrow{x_i}+b)-1\bigg]=0\)
由题意知:\(g_i(w,b)\ge 0,\therefore g_i(w,b)=0或\lambda_i=0时,f(w)最小\)
\(\lambda_i\ge0\) (不懂)
KKT条件:
\(\overrightarrow{w}-\displaystyle\sum_{i=1}^s\lambda_i*y_i*\overrightarrow{x_i}=0\)
\(-\displaystyle\sum_{i=1}^s\lambda_i*y_i=0\)
\(y_i(\overrightarrow{w}*\overrightarrow{x_i}+b)-1\gt0\)
\(\lambda_i\bigg[y_i(\overrightarrow{w}*\overrightarrow{x_i}+b)-1\bigg]=0\)
\(\lambda_i\ge0\)
原问题与对偶问题



对偶问题例题


软间隔最优化问题



浙公网安备 33010602011771号