一名全栈工程师的技术实践之路

本文比较系统的介绍了什么是全栈以及全栈开发的具体步骤和实践,最后分享了作者做全栈的心得体会。
一、前言
1.1 什么是全栈
1.2 为什么做全栈
-
降低沟通成本,提升交付效率:精细化分工导致的结果是协同成本大大增加,尤其是对于跨多个团队的项目,每个开发可能找对接的同学都得找好几个人才能找到,影响整体的需求交付效率。当下,由单人或单团队完成需求的闭环开发,降低协同或许是提升产品交付效率的最快方式。
-
从全局视角加深领域专业度、增强个人竞争力:首先,无论是前端技术、客户端技术还是服务端技术,研发平台、框架、规范都基本定型,学习成本降低;其次,通过学习全栈技术,可以增加技术视角的广度,未来进行开发工作时,不再偏居一隅,可以从整个项目的角度出发,设计更合理的架构;最后,未来市场需要的也是全栈型开发同学,在《Stack Overflow 2021 全球8W名开发者调查报告》显示排名前三分别是:全栈工程师(49.7%)、后端工程师(43.7%)、前端工程师(27.4%)。
二、全栈需求开发SOP
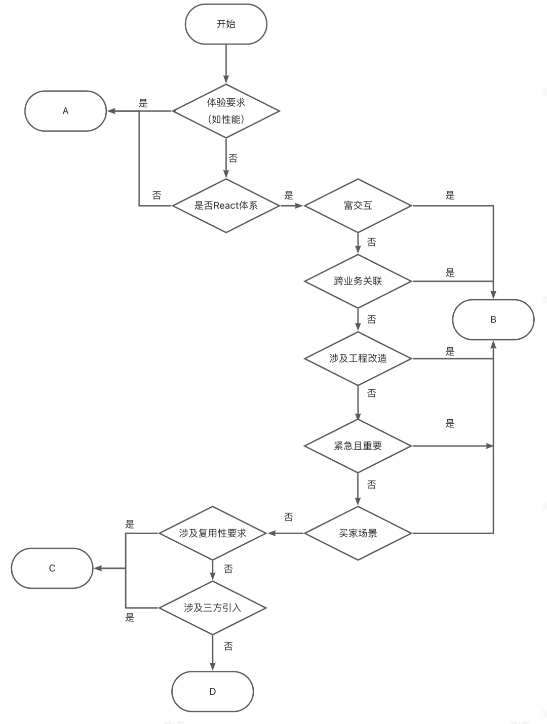
2.1 需求分级
|
|
|
|
|
|
|
|
|
|
|
|
|
|
|

2.2 需求评估
-
前端同学根据需求分级流程完成需求定级
-
与专业前端协商后指定需求承接同学
-
承接同学评估工时
-
工时对焦及优化(专业前端、承接同学)
2.3 需求开发 & 发布
-
准备工作 -
代码开发 -
本地调试 -
发布
2.4 需求质量保障
-
所有全栈研发的代码由业务前端owner或师兄强制CR;
-
发起CR时机,在完成项目开发和自测后,全栈同学需及时提交CR给师兄和业务前端owner;
-
师兄和业务前端owner完成代码review后,全栈同学按照要求进行代码修复;
-
统计千行缺陷率、可自测发现率、线上问题数、预警量等指标,纳入全栈交付质量统计; -
线上故障由业务前端owner和实际开发人共同处理,线上缺陷由全栈开发同学修复;
2.5 需求复盘
三、全栈需求实践
3.1 背景

3.2 准备工作
3.2.1 环境准备
|
|
|
|
|
|
|
|
|
|
|
|
|
|
|
|
|
|
|
|
|
|
|
|
3.2.2 熟悉代码
alita-xianzhi
|--- hook // 钩子脚本
|--- .eslintignore // eslint格式校验忽略文件
|--- .eslintrc.js // esliint格式配置文件
|--- package.json // 依赖包版本(类似pom.xml)
|--- src // 源代码
|-- common // 定义项目常量,比如目录,常用文字说明等
|-- components // 公共组件目录
|-- entry // 跳转页
|-- pages // 页面代码,文件名与 URL 路径相对应
|-- service // 服务,接口请求地址
|-- utils // 公用方法
|-- index.jsx // 主页
|-- index.scss // 主页样式css
|-- tab-config.js // 路由配置
3.2.3 新建变更
3.3 代码开发
3.3.1 模块划分
-
筛选栏:展示筛选项、搜索栏
-
详情Tab:展示多个Tab,本次开发的关键词榜单就是其中一个Tab页面


-
筛选栏改造:改造query-header-container文件夹下的组件代码
-
详情Tab:在aaa文件夹下新增keyword-table文件夹,然后在里面写代码
src
|-- pages
|-- outside-opportunity-discovery
|-- components // 站外机会发现组件
|-- query-header-container // 筛选框组件
|-- index.jsx // 筛选框组件主页
|-- index.scss // 筛选框组件主页样式
|-- aaa // aaa榜单
|-- keyword-table // aaa关键词榜单列表
|-- index.jsx // aaa关键词榜单主页
|-- index.scss // aaa关键词榜单主页样式
|-- index.jsx // aaa榜单主页
|-- index.scss // aaa榜单主页样式
3.3.2 筛选栏开发


class QueryContainer extends Component {
render(){
return (
{currentTab === 'keyword' && (
<div>关键词榜单筛选栏</div>
)}
{currentTab !== 'keyword' && (
<div>品类榜单筛选栏</div>
)}
);
}
}
上例中,相当于有两个if条件语句,伪代码如下:
if(currentTab == 'keyword'){
展示关键词榜单筛选栏
}
if(currentTab != 'keyword'){
展示品类榜单筛选栏
}
同时,React也支持三目运算符,例如:
class QueryContainer extends Component {
render(){
return (
{currentTab === 'keyword' ? (
<div>关键词榜单筛选栏</div>
) : (
<div>品类榜单筛选栏</div>
)}
);
}
}
通过以上逻辑判断,可以实现对筛选栏的改造,根据不同Tab展示不同样式。
3.3.3 详情Tab开发

class keywordTable extends Component {
render(){
return (
<Row>
<Col span="12" className="class1">第一列</Col>
<Col span="12" className="class2">第二列</Col>
</Row>
);
}
}
Grid栅格布局将每一个行划分为24个小列,只需要指定span,即可按比例设置列的宽度。className可以轻松的定制每个网格的样式。上例中,使用Grid栅格布局渲染了一行,并将其平分为两列。
class keywordTable extends Component {
renderTableHeader(){
return (
<Row className="product-table-header">
<Col className="header-keyword" span="3">
关键词
</Col>
<Col className="header-keyword-category" span="4">
所属类目
</Col>
<Col className={this.getTitleClassName('avgSold')} span="2">
品均月销量($)
<Icon
type="descending"
size="xs"
onClick={() => this.onSortChange('avgSold', 'avg_sold')}
/>
</Col>
...
<Row>
);
}
}
在每个网格内,可以任意的渲染组件,比如上例中我就在其中一个网格内嵌入了下降图标的Icon。React还支持动态的拼接每个组件的className,上例中,我封装了一个动态获取className的方法,用于实现点击排序后,排序字段高亮的样式。
class KeywordTable extends Component {
renderTableKeyword(){
return (
<div className="keyword-table-container">
{dataList.map((item = {}, index) => {
return (
<Row key={index} className="keyword-table-item">
<Col className="item" span="3">
{item.keyword}
</Col>
<Col className="item" span="4">
{item.cateName}
</Col>
...
</Row>
);
})}
</div>
);
}
}
上例中,首先遍历数据列表中的每一个对象,在遍历时,需要给对象设置默认值,避免对象为null导致页面渲染异常,然后取对象中的各属性值并渲染到网格中。
class KeywordTable extends Component {
render(){
return (
<React.Fragment>
{this.renderTableHeader()}
{this.renderTableKeyword()}
</React.Fragment>
);
}
}
3.3.4 组件通信开发
-
两个对象之间本身存在包含关系,例如对象A包含对象B,这时候A可以轻松的获取B的属性;
-
两个对象之间存在一个媒介,通过媒介进行交互,例如对象C同时包含对象A和对象B,这时候A和B可以通过C轻松交互;

-
state
class AAA extends Component {
state = {
currentTab: 'keyword',
dataList: []
}
render(){
const {currentTab} = this.state
<QueryContainer currentTab={currentTab}/>
}
}
-
props
class QueryContainer extends Component {
render() {
const {currentTab} = this.props;
}
}
class AAA extends Component {
state = {
currentTab: 'keyword',
dataList: []
}
setDataList(newDataList){
this.setState({newDataList});
}
render(){
const {currentTab} = this.state
<QueryContainer
currentTab={currentTab}
setDataList={this.setDataList}/>
}
}
class QueryContainer extends Component {
onSearchBtnClick(){
// 构造新的dataList
newDataList = ...;
this.props.setDataList(newDataList);
}
}
3.4 本地调试
3.4.1 代理配置
-
确定待代理的URL
-
使用LightProxy配置前端代码Host绑定,例如:
^dev.g.alicdn.com/pagani-assets/alita-xianzhi/**/** file://Users/zhangpoxi/webStormProject/alita-xianzhi/build/$2
本例中的绑定将所有包含路径dev.g.alicdn.com/pagani-assets/alita-xianzhi的http访问请求代理到前端代码编译得到的文件夹中,实现本地调试的效果
-
使用LightProxy配置后端预发接口代理,例如:
127.0.0.1 future.alibaba-inc.com
-
启动LightProxy代理,如下图,如果LightProxy左侧配置项上有绿点,且菜单栏中的系统代理项前有小勾,则表示代理生效中

3.4.2 如何判断代理是否生效
-
打开浏览器,打开“开发者工具”,Chrome浏览器快捷键F12
-
访问代理的URL
-
搜索被代理的前端请求中的任意字符串,比如xianzhi
-
查看访问的ip地址,如果是127.0.0.1则说明代理生效

3.5 发布

-
开发同学将前端代码打包并推送到CDN上;
-
用户访问服务器,服务器确定当前使用的版本号;
-
服务器向CDN请求某版本号的前端代码包;
-
CDN找到对应的前端代码并返回给服务器;
-
服务器向用户响应页面文件。
3.6 常见问题
3.6.1 npm安装依赖失败

3.6.2 代理不生效
-
LigthProxy代理配置错误
-
LigthProxy代理失败或未启动
-
页面缓存导致代理不生效
-
检查本地项目启动是否成功
-
访问路径是否正确
-
LightProxy开启是否成功
-
LightProxy中配置的本地资源路径是否正确
-
清空缓存,重启LightProxy,多刷新几次试试
四、全栈开发心得
-
培养全局视角,加深领域专业度
-
在传统的需求迭代交付中,开发总是站在某一个视角看整个业务,对业务整体框架缺乏认知。通过全栈交付,为开发同学提供更高的维度、更全局的视角,这样可以更好地理解业务模型、业务流程和不同模块之间的关系,从而更好地把握业务的本质和目标,提升领域理解,加深领域专业度,更快成为某个领域的专家。
-
降低沟通成本,提升交付效率
-
沟通成本在迭代需求交付过程中已经成为不可忽视的一部分,尤其是跨团队的需求对接,接口沟通、联调将会花费大量时间。通过全栈进行需求交付,省去了多人之间的沟通成本,让开发专注在需求上,而不是与外部沟通上。全栈交付也可以在一定程度上避免返工问题,比如在定义接口的时候,有些细节没考虑清楚,导致出入参的结构存在一些问题。如果是非全栈需求,需要重新跟前端同学对接,针对接口是否合理的讨论可能就会花费1个小时,然后前段再重新开发页面,浪费大量时间。而如果是全栈需求,我可以直接修改接口,不需要跟前端同学再去交流一遍,前端页面也可以在后端接口确认之后再开始搭建,不存在返工问题。
-
拓展技术广度,增强个人竞争力
-
当下,AI能力越来越强,降低了跨栈开发的门槛,人人都可以借助AI能力,进行跨栈开发,我们在深挖专业技能的同时,技术广度也是不可获取的一部分,全栈能力必然是大势所趋。目前先知的全栈实践局限在前端、后端,未来的全栈可以继续向数据开发、算法等方向发展,一人成军,让迭代需求交付没有卡点。未来的技术发展需要拥有全栈能力的人才能够更好地适应,跨界合作将成为趋势。因此,通过拓展技术广度,不仅可以增强个人竞争力,还能够在职场中获得更多的机会和挑战,实现自我价值的最大化。
作者|
本文来自博客园,作者:古道轻风,转载请注明原文链接:https://www.cnblogs.com/88223100/p/The-Technical-Practice-Path-of-a-Full-Stack-Engineer.html

浙公网安备 33010602011771号