Java实现图的深度优先遍历
深度优先遍历算法如下:
/*其中matirx为图的邻接矩阵,Vertex为自定义的顶点类,
start为指定的起始顶点,list2用来存储深度优先遍历的顶点序列*/
static void dfs(int matrix[][],List<Vertex> list,int start,List<Integer> list2){
int length = matrix.length;
Vertex node = list.get(start);
list2.add(node.getIndex());
node.setVisited(true);
for(int i = 0;i<length;i++){
int weight = matrix[start][i];
if(weight != 0){
if(list.get(i).isVisited()){
continue;
}
else{
dfs(matrix,list,i,list2);
}
}
else{
continue;
}
}
}
class Vertex{
int index;
boolean visited;
Vertex(int index){
this.index = index;
}
int getIndex(){
return index;
}
void setIndex(int index){
this.index = index;
}
boolean isVisited(){
return visited;
}
void setVisited(boolean visited){
this.visited= visited;
}
}
主方法(测试用):
public static void main(String args[]){
int matrix[][]={
{0,1,1,0,0,0,1},
{1,0,0,0,0,1,0},
{1,0,0,1,1,0,0},
{0,0,1,0,0,0,0},
{0,0,1,0,0,0,0},
{0,1,0,0,0,0,0},
{1,0,0,0,0,0,0}
};
List<Vertex>list = new ArrayList<Vertex>();
for(int i = 0 ;i<matrix.length;i++){
list.add(new Vertex(i));
}
List<Integer>list2 = new ArrayList<Integer>();
dfs(matrix,list,0,list2);
System.out.print(list2);
}
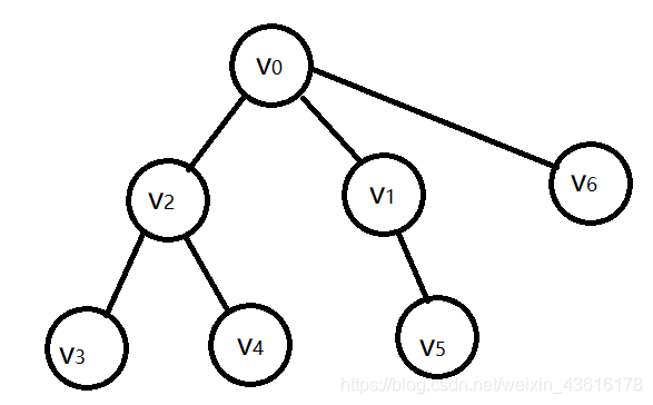
上述邻接矩阵所表示的图如下:

测试结果如下:

浙公网安备 33010602011771号