m基于LMMSE+turbo算法的信道估计均衡器误码率仿真,对比LS,DEF以及LMMSE三种均衡算法误码率
1.算法描述
本文推导了符号间干扰(ISI)信道的矢量形状因子图表示。结果图具有树形结构,避免了现有图方法中的短周期问题。基于联合高斯近似,我们在LLR(对数似然比)之间建立了联系由二进制输入和LMMSE(线性最小均方误差)驱动的线性系统的估计器高斯输入驱动的线性系统的估计器。此连接有助于应用最近提出的ISI信道无周期图高斯消息传递技术。
LMMSE+Turbo主要原理见如下文献:

从参考文献中的内容可知,整个系统大概的结构如下所示:

所以,我们按这个结构进行编程设计。
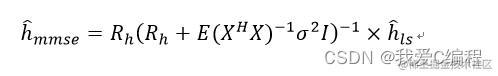
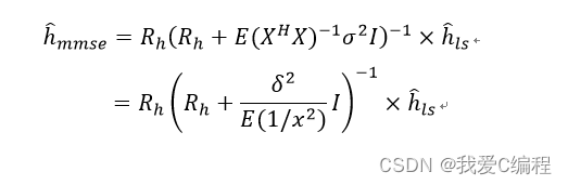
LMMSE:
首先将MMSE计算公式中的XHX用其均值来代替,即

为什么用均值来代替即时值能降低计算复杂度?这需要分析XHX里面的数据是什么,它是一个MM的矩阵,其对角线上是已知数据(导频信号)的功率,而其他位置的数据则是已知数据与其自身延迟数据的相关,该相关值可近似为满足标准正态分布的信号(均值为0)。那么对应到E(XHX),其对角线上的数据就是已知数据的平均功率,而其他位置的数据则为0。因此通过这种替代,可将hmmse进一步做如下化简


其中SNR为接收信号的信噪比,而β则是与调制方式有关的一个常数。
TURBO:
turbo Codes译码是一类具有反馈结构的伪随机译码器,2个码可以交替互不影响的译码,并且还可以通过关于系统码信息位的软判决输出相互传递信息,进行递推式迭代译码。Turbo译码结构如图1所示:

Turbo码的译码算法主要分为两大类:一类是基于最大后验概率(Maximum A Posteriori,MAP)软输出算法,这类算法由标准MAP算法演化得来。对标准MAP算法取对数得到Log-MAP算法,对Log-MAP算法中的分支度量进行简化,得到MAX-Log-MAP算法。另一类是基于Viterbi算法的软输出算法,是对卷积码的译码算法Viterbi的改进,使其满足SISO特性,软信息可以在两个分量译码器之间交换。这种改进的Viterbi算法为软输出Viterbi算法(SOVA)。
2.仿真效果预览
matlab2022a仿真结果如下:


3.MATLAB核心程序
for j=1:length(SNR_in_dB)
%通过既有码间干扰又有白噪声信道
for jj = 1:1000
j
jj
info = [ones(1,2048),func_random_binary(N)];%产生二进制信号序列
%Encoder
info2 = [];
for ii = 1:(N+2048)/length(Interleaver)
tmps = info(length(Interleaver)*(ii-1)+1:length(Interleaver)*ii);
info2 = [info2,tmps(Interleaver)];%交织
end
%turbo编码
turbo_code = [func_turbo_encode_map(logical((info2+1)/2)),zeros(1,10000)];%82954,76810=6144
%多径噪声信道
[y,len,h] = func_channel(2*turbo_code-1,SNR_in_dB(j));
if j==1
info4 = zeros(size(info));
end
%LMMSE均衡
z = func_LMMSE_eq(y,h,SNR_in_dB(j),info4);
decis = [2*[z>=0]-1]';
%获得均衡后数据
XX = [decis(6:82953+5)];
%demap_decode,译码
output= 2*func_turbo_decode_demap(XX,ITER)-1;%82953
%解交织
info3 = [];
for ii = 1:(N+2048)/length(De_Interleaver)
tmps2 = output(length(De_Interleaver)*(ii-1)+1:length(De_Interleaver)*ii);
info3 = [info3,tmps2(De_Interleaver)];%交织
end
%反馈,交织
info4 = [];
for ii = 1:(N+2048)/length(Interleaver)
tmps3 = info3(length(Interleaver)*(ii-1)+1:length(Interleaver)*ii);
info4 = [info4,tmps3(Interleaver)];%交织
end
%初始误码统计数
NumErr1 = sum(info(1:27499)~=info3(1:27499));
if NumErr1 == 0%无法统计到误码率
NumErr1 = 1;
end
Pe4(j,jj) = NumErr1/N;
end
end;
01-142m

浙公网安备 33010602011771号