基于matlab的BOC调制解调的同步性能仿真,输出跟踪曲线以及不同超前滞后码距下的鉴别曲线
1.算法描述
BOC-Binary Offset Carrier,也叫二进制偏置载波调制,是在Galileo系统设计过程中提出的一种新的载波调制方式。它的基本原理是在原有的BPSK调制基础上,再增加一个二进制副载波(目前主要是由正弦或余弦型符号函数构成的副载波,即形似sgn(sin(t))或sgn(cos(t)),以正弦或余弦信号为参数的符号函数)。这种调制方式的最大特点是,其功率谱的主瓣分裂成对称的两部分,而且根据选择的参数不同,两个分裂主瓣的距离也可以变化。一般常用的表示方式为BOC(m,n)的形式,其中m表示的是副载波频率,n表示的是扩频码速率,具体数值分别是1.023MHz的m倍和n倍。
关于BOC调制,Betz的文章《Binary Offset Carrier Modulations for Radionavigation》是比较经典的,特别是附录里关于功率谱表达式的推导,让我省却了很多自行推导的烦恼。不过里面有一处印刷错误,有兴趣的朋友应该不难发现。中文资料里我认为邱致和的《GPS M码信号的BOC调制》,可以作为参考,特别是关于BOC基本概念的介绍。
BOC 调制就是在原有 BPSK 调制的基础上,再加上一个二进制副载波对 BPSK 信号进行二次扩频。由于方波易于生产,因此采用方波来替代正弦波,这样可以节约硬件资源。一般用 BOC(sf ,cf)来表示sf 代表副载波频率,cf 代表伪码速率。因为sf 和cf都是 1.023MHz 的整数倍,所以文献中用 BOC(m,n)的表示形式,其中 m 表示的是副载波频率,n 表示的是扩频码速率,它们分别表示 1.023MHz 的 m 倍和 n 倍。
BOC 调制的频谱可以分为两个对称独立的边带,它的自相关函数是一种多峰结构,其中主峰较窄,所以有可能对接收机处理方式做一些改变,以便在实现时获得性能的改善。另外一种可行的方法是使鉴相器工作在一个带宽信号的相对函数上,进而保持对主峰的粗跟踪,之后再转入用双边带信号工作的鉴相器,来作精跟踪。由此可见,BOC 调制信号的频谱中上边带和下边带的冗余,自相关函数中的多峰,如果加以开发利用有可能在接收机的信号截获、码跟踪以及数据解调等处理中带来利益。
BOC 调制信号是在载波调制前对扩频信号用副载波进行二次扩频。其流程如下图所示:

正、余弦BOC调制信号的码片波形可以分别表示为


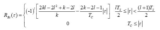
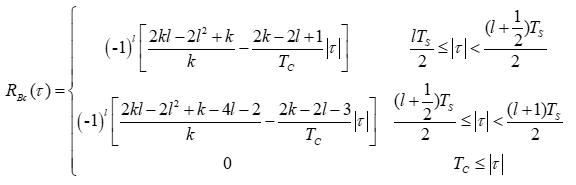
正弦BOC调制信号BOCs(m,n)和余弦BOC调制信号BOCc(m,n)的自相关函数分别为


boc和bpsk区别很多:
1 功率谱不同,boc将基带信号能量搬移到±fs处,bpsk基带信号能量集中在0频。boc的这种特性使得一个频点可以发射多个信号分量。
2 相关函数不同,boc有多个峰,会使得接收机产生误锁,而bpsk不会。
总结,boc是的导航信号调制方式设计更具灵活性,但接收处理更有挑战。bpsk接收处理简单。
2.仿真效果预览
matlab2022a仿真结果如下:



3.MATLAB部分代码预览
[signal_BOC] = source_BOC(SNR,2,fword_code,fword_sub_carrier,fword_carrier);
for index = 1:loopnum
index
%信号跟踪
[signal_BOC,prn_source] = source_BOC(SNR,point,fword_code,fword_sub_carrier,fword_carrier);
%本地码载波产生
[local_prn_E,local_prn_P,local_prn_L,...
local_BOC_E,local_BOC_P,local_BOC_L,...
fll_carrier_cos,fll_carrier_sin,...
pll_carrier_cos,pll_carrier_sin] = local_gen(point);
%相关运算
%ASPeCT
Dcm_I_E1 = sum(signal_BOC.*fll_carrier_cos.*local_BOC_E);
Dcm_I_E2 = sum(signal_BOC.*fll_carrier_cos.*local_prn_E);
Dcm_I_E = Dcm_I_E1^2-Dcm_I_E2^2;
Dcm_Q_E1 = sum(signal_BOC.*fll_carrier_sin.*local_BOC_E);
Dcm_Q_E2 = sum(signal_BOC.*fll_carrier_sin.*local_prn_E);
Dcm_Q_E = Dcm_Q_E1^2-Dcm_Q_E2^2;
Dcm_I_P1 = sum(signal_BOC.*fll_carrier_cos.*local_BOC_P);
Dcm_I_P2 = sum(signal_BOC.*fll_carrier_cos.*local_prn_P);
Dcm_I_P = Dcm_I_P1^2-Dcm_I_P2^2+abs(Dcm_I_P1^2-Dcm_I_P2^2);
Dcm_Q_P1 = sum(signal_BOC.*fll_carrier_sin.*local_BOC_P);
Dcm_Q_P2 = sum(signal_BOC.*fll_carrier_sin.*local_prn_P);
Dcm_Q_P = Dcm_Q_P1^2-Dcm_Q_P2^2+abs(Dcm_Q_P1^2-Dcm_Q_P2^2);
Dcm_I_L1 = sum(signal_BOC.*fll_carrier_cos.*local_BOC_L);
Dcm_I_L2 = sum(signal_BOC.*fll_carrier_cos.*local_prn_L);
Dcm_I_L = Dcm_I_L1^2-Dcm_I_L2^2;
Dcm_Q_L1 = sum(signal_BOC.*fll_carrier_sin.*local_BOC_L);
Dcm_Q_L2 = sum(signal_BOC.*fll_carrier_sin.*local_prn_L);
Dcm_Q_L = Dcm_Q_L1^2-Dcm_Q_L2^2;
%码鉴别滤波,计算频率字
pow_E = Dcm_I_E^2+Dcm_Q_E^2;
pow_L = Dcm_I_L^2+Dcm_Q_L^2;
code_dis = (pow_E-pow_L)/(pow_E+pow_L)/2;
code_dis_result(index) = code_dis;
if index ==1
last_out_DDL = 0;
last_in_DDL = 0;
end
code_filter = last_out_DDL + [code_dis last_in_DDL]*[C1 (-1)*C2]';
last_out_DDL = code_filter;
last_in_DDL = code_dis;
code_filter_result(index) = code_filter;
local_fword_code = (fc+code_filter)*2^40/fsamp;
local_fword_sub_carrier = (fs+code_filter)*2^40/fsamp;
end
A_050

浙公网安备 33010602011771号