m短波宽带通信系统的信道建模matlab仿真
1.算法概述
宽带短波信道的研究是设计宽带大容量短波通信的基础,但是传统的短波信道的研究仅限于窄带信号传输,这已经无法满足现代短波研究的需要了,本文的主要工作就是根据宽带短波信道的特性进行宽带短波信道的建模。
本文首先介绍了Watterson信道模型,该模型信道衰落是瑞利幅度分布,而在每种传播模式中多普勒扩展的功率谱满足高斯分布。Watterson模型没有定义延时扩展的形状,认为各个多径传输模式中不存在延时扩展。其有效带宽仅为10kHz。因此,并不使用于宽带短波通信的信道研究。
然后根据Watterson模型存在的局限性,本文又介绍了ITS信道模型,根据ITS宽带短波信道模型,但是该模型中的延迟功率谱函数非常难设计,很多参数都来自实际的测试,所以本文针对这个问题,提出了一种ITS的优化模型,利实现了一种新的短波宽带信道实时仿真算法,并给出了该算法中信道模型的理论表达式。
最后,通过MATLAB仿真对Watterson信道模型和ITS信道模型进行仿真分析,最后对改进后的ITS模型进行了仿真分析。
1.1 Watterson信道模型理论简介
由于高频信道往往在时域和频域上是随着时间变化而变化的,所以仅仅在有限的频带内进行分析,因为在有限长的时间内,信号基本是稳定的,所以可以选取一个基本静态的模型进行分析,在实际信号传播过程中,信道可以看出是一个有限数量的相互相关的离散信号模型的组合。此外,Watterson信道模型,其建立在其信道衰弱时服从Rayleigh分布的,每种模式的多谱勒扩展是高斯谱分布。其结构如下:

1.2 Nakagami信道模型
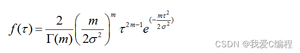
Vogler在Radio Science上发表了一篇经典的宽带短波建模的文章,根据Wagner和Basler等人的实验数据推导出信道的传递函数,脉冲响应以及散射函数来得出宽带信道的数学模型。ITS宽带短波信道模型克服了Watterson窄带信道模型的局限性,但是ITS模型同样也存在一些缺陷。在ITS模型中,每一种传输模式都需要大量的参数只能通过实际的测试才能得到,并不能通过数学公式计算得到。此外,ITS模型的关键特征之一就是使用了延迟功率分布的模型,但是延迟功率分布模型的有效性尚缺乏足够的理论依据。ITS短波宽带信道模型中的最为主要的一个部分就是功率延迟剖面函数,功率延迟剖面函数的确定是信道仿真的最大难点,这是由于功率延迟剖面函数中的需要参数和变量都需要实际测试才能获得。 在实际中,我们可以通过近似的方法来获得功率延迟剖面函数,本文,我们将研究ITS模型中功率延迟剖面函数的等效表示方式。通过相关文献可知,功率延迟谱函数的曲线与某些参数先的Nakagami函数曲线比较接近,所以,我们将通过Nakagami函数来模拟出最小误差的ITS模拟功率延迟剖面函数:

2.仿真效果预览
matlab2022a仿真



3.MATLAB部分代码预览
%Watterson宽带短波通信信道建模仿真代码
a = 1; %设置仿真幅度
fc = 300; %载波频率
fs = 3000; %信号的采样频率
thta = pi/6; %信号的初始相位
delay = [0 100]; %多径延迟,有几条多径,就输入几个值
fm = [0 10]; %每个多径的频谱展开
fd = [0 10]; %频率偏移
A = [1 0.8]; %每条多径的幅度
inter = 30; %瑞丽信道参数
SNR = 7; %信噪比
t = 20*pi/20000:20*pi/20000:20*pi;%仿真时间
st = a*cos(2*pi*fc*t+thta); %原始的发送信号
figure;
subplot(221);
plot(st,'b');title('发送的信号源');
axis([0,length(t),-1.3,1.3]);
Ns = length(st);
M = length(A);
%希尔伯特变换
st_h = hilbert(st);
n_delay = ceil(delay*10^-3.*fs);
r = zeros(1,Ns+max(n_delay));
%通过信道
for m = 1:M
r = r+[zeros(1,n_delay(m)),reylei(st,fm(m),fs,Ns,inter).*A(m),...
zeros(1,max(n_delay)-n_delay(m))];
r = r.*exp(j*(2*pi*fd(m).*[1:length(r)]/fs));
end
r = real(r)./sqrt(sum(A.^2));%获得平均值
r = awgn(r,SNR,'measured'); %通过高斯信道
%Watterson宽带短波通信信道
subplot(223);plot(r,'b');title('通过信道后的信号');
axis([0,length(r),-1.9,1.9]);
%进行频谱分析
[st_ssf,st_fxs]=plotspec(st,1/fs);
subplot(222);plot(st_ssf,abs(st_fxs));title('原信号的频谱');
[r_ssf,r_fxs]=plotspec(r,1/fs);
subplot(224);plot(r_ssf,abs(r_fxs));title('通过Watterson信道的频谱');
01_037_m

浙公网安备 33010602011771号