203. 移除链表元素
给你一个链表的头节点 head 和一个整数 val ,请你删除链表中所有满足 Node.val == val 的节点,并返回 新的头节点 。
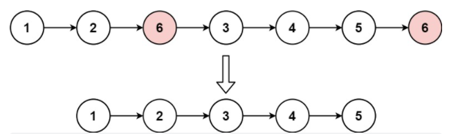
示例 1:

输入:head = [1,2,6,3,4,5,6], val = 6
输出:[1,2,3,4,5]
示例 2:
输入:head = [], val = 1
输出:[]
============================================================
迭代
class Solution { public: ListNode* removeElements(ListNode* head, int val) { while (head != NULL && head->val == val) { head = head->next; } ListNode* p = head; while (p&&p->next) { while (p->next&&p->next->val == val) { p->next = p->next->next; } p = p->next; } return head; } };
浙公网安备 33010602011771号