141. 环形链表
给你一个链表的头节点 head ,判断链表中是否有环。
如果链表中有某个节点,可以通过连续跟踪 next 指针再次到达,则链表中存在环。 为了表示给定链表中的环,评测系统内部使用整数 pos 来表示链表尾连接到链表中的位置(索引从 0 开始)。如果 pos 是 -1,则在该链表中没有环。
注意:pos 不作为参数进行传递,仅仅是为了标识链表的实际情况。如果链表中存在环,则返回 true 。 否则,返回 false 。
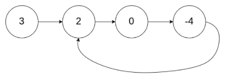
示例 1:

输入:head = [3,2,0,-4], pos = 1
输出:true
解释:链表中有一个环,其尾部连接到第二个节点。
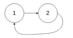
示例 2:

输入:head = [1,2], pos = 0
输出:true
解释:链表中有一个环,其尾部连接到第一个节点。
================================================================
双指针,快慢,时间复杂度O(n),空间复杂度O(1)
class Solution { public: bool hasCycle(ListNode *head) { ListNode *h1 = head; ListNode *h2 = head; while (h2!=NULL) { if (h2->next==h1) return true; if(h2->next!=NULL) h2 = h2->next->next; else return false; h1 = h1->next; } return false; } };
浙公网安备 33010602011771号