第二章&第三章
C程序设计实验报告
实验项目:2.3.3 2.3.4 2.3.5 3.3.1 3.3.2 3.3.3____________________________________
姓名:戴智琴___
实验地点:家__
实验时间__2020.03.15________
一、实验目的与要求
1、掌握自增++,自减--运算符的正确使用
2、掌握基本的输入,输出函数的基本功能,调试方法,输入输出格式控制规定等;
3.掌握结构化的算法描述方法
4.熟练掌握C语言的运算符,即运算符的优先级和结核性,运算规则,运算对象类型等
二、实验内容
1、实验练习:字符与ASCII码
1问题的简单描述:从键盘中输入一个大写字母,要求将其转换成小写字母并输出,同时输出这个小写字母相邻的两个字母,以及ASCII码。
2实验代码:
3问题分析:字母大小写ASCII码有差值。
2、实验练习:运算符与表达式的运用
1问题的简单描述:输入一个3位正整数,要求输出该数的逆序数。
2实验代码:
3问题分析:将个,十,百位的数拆开,在组合。
3、实验练习:顺序结构应用程序
1问题的简单描述:编写一个程序,方便医院收费处利用此程序出纳算账。
2实验代码:
3问题分析:注意中西文切换。
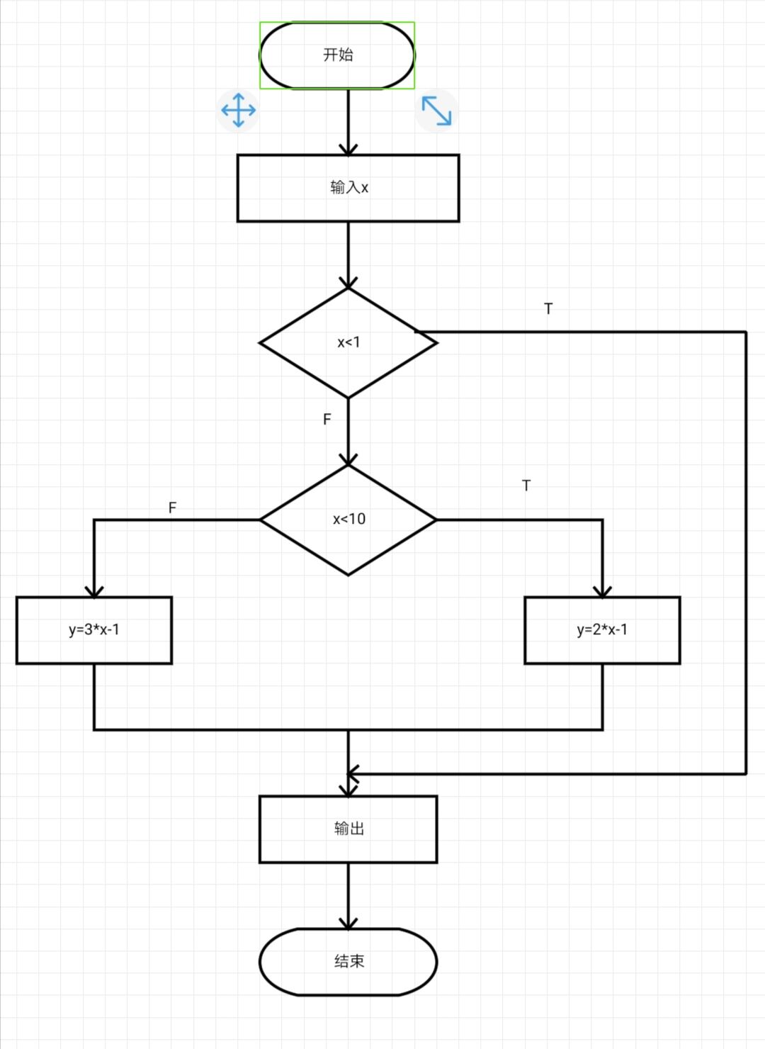
4、实验练习:数学函数的算法描述
1问题的简单描述:
2实验代码:
3问题分析:掌握if结构的使用
5、实验练习:鸡兔同笼的算法描述
1问题的简单描述:
2实验代码:
3问题分析:两数相乘用*
6、实验练习:确定坐标的算法描述
1问题的简单描述:确定坐标
2实验代码:
3问题分析:多多操作
三、实验小结(在本次实验中收获与不足)
实践检验真理,只有动手实验才记忆深刻。

浙公网安备 33010602011771号