会员
周边
新闻
博问
闪存
众包
赞助商
Chat2DB
所有博客
当前博客
我的博客
我的园子
账号设置
会员中心
简洁模式
...
退出登录
注册
登录
CHNCZSWNPY
博客园
首页
新随笔
联系
订阅
管理
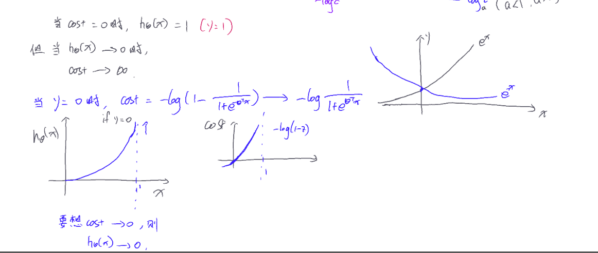
logistic regression's cost function
(课堂随笔,基于吴恩达老师的课,仅供参考,有错的欢迎指出)
posted @
2021-06-26 11:36
CHNCZSWNPY
阅读(
23
) 评论(
0
)
收藏
举报
刷新页面
返回顶部
公告