实验3
实验3
任务1
task1
#include <stdio.h>
char score_to_grade(int score); // 函数声明
int main() {
int score;
char grade;
while(scanf("%d", &score) != EOF) {
grade = score_to_grade(score); // 函数调用
printf("分数: %d, 等级: %c\n\n", score, grade);
}
return 0;
}
// 函数定义
char score_to_grade(int score) {
char ans;
switch(score/10) {
case 10:
case 9: ans = 'A'; break;
case 8: ans = 'B'; break;
case 7: ans = 'C'; break;
case 6: ans = 'D'; break;
default: ans = 'E';
}
return ans;
}

问题1:函数的功能是判断分数对应的等级,形参类型是整数类型,返回值类型是字符类型
问题2:没有break,可能会输出多个值
任务2
task2
#include <stdio.h>
int sum_digits(int n); // 函数声明
int main() {
int n;
int ans;
while(printf("Enter n: "), scanf("%d", &n) != EOF) {
ans = sum_digits(n); // 函数调用
printf("n = %d, ans = %d\n\n", n, ans);
}
return 0;
}
// 函数定义
int sum_digits(int n) {
int ans = 0;
while(n != 0) {
ans += n % 10;
n /= 10;
}
return ans;
}

问题1:函数的功能是计算各位数相加之和
问题2:能实现,一种算法是采用循环,一种算法是采用递归,最终达到的目的是相同的
任务3
task3
#include <stdio.h>
int power(int x, int n); // 函数声明
int main() {
int x, n;
int ans;
while(printf("Enter x and n: "), scanf("%d%d", &x, &n) != EOF) {
ans = power(x, n); // 函数调用
printf("n = %d, ans = %d\n\n", n, ans);
}
return 0;
}
// 函数定义
int power(int x, int n) {
int t;
if(n == 0)
return 1;
else if(n % 2)
return x * power(x, n-1);
else {
t = power(x, n/2);
return t*t;
}
}

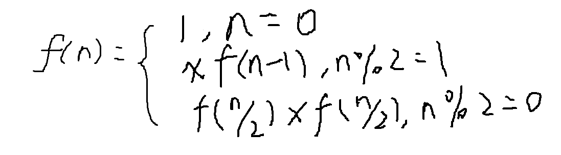
问题1:函数的功能是计算x的n次方
问题2:是递归函数

任务4
task4
#include <stdio.h>
#include <stdlib.h>
int is_prime(int n);
int main()
{
int i,c=0;
printf("100以内的孪生素数:\n");
for(i=1;i<=100;++i){
if (is_prime(i)){
if (is_prime(i+2)){
printf("%d %d\n",i,i+2);
c+=1;}}
}
printf("100以内的孪生素数共有%d个\n",c);
system("pause");
return 0;
}
int is_prime(int n)
{
int i,f=1;
if (n==1)
f=0;
for(i=2;i<=n/2;++i){
if (n%i==0){
f=0;
break;}
}
return f;
}

任务5
task5
#include <stdio.h>
#include <stdlib.h>
int count=0;
void hanoi(int n,char a,char b,char c);
int main()
{
int n,x;
while(scanf("%d", &n) != EOF){
hanoi(n,'A','B','C');
printf("一共移动了%d次\n",count);}
system("pause");
return 0;
}
void hanoi(int n,char a,char b,char c)
{
if (n==0)
return;
hanoi(n-1,a,c,b);
printf("%d: %c --> %c\n",n,a,c);
count++;
hanoi(n-1,b,a,c);
}

任务6
task6_1
#include <stdio.h>
#include <stdlib.h>
int func(int n, int m); // 函数声明
//迭代
int main() {
int n, m;
int ans;
while(scanf("%d%d", &n, &m) != EOF) {
ans = func(n, m); // 函数调用
printf("n = %d, m = %d, ans = %d\n\n", n, m, ans);
}
system("pause");
return 0;
}
int func(int n, int m)
{
int i,j,h=1,l=1;
for(i=1;i<=m;i++)
l*=i;
for(j=n-m+1;j<=n;j++)
h*=j;
return h/l;
}

task6_2
#include <stdio.h>
#include <stdlib.h>
int func(int n, int m); // 函数声明
//递归
int main() {
int n, m;
int ans;
while(scanf("%d%d", &n, &m) != EOF) {
ans = func(n, m); // 函数调用
printf("n = %d, m = %d, ans = %d\n\n", n, m, ans);
}
system("pause");
return 0;
}
int func(int n, int m)
{
if(n==m)
return 1;
if(n<m)
return 0;
if(m==0)
return 1;
return func(n-1,m)+func(n-1,m-1);
}

任务7
task7
#include <stdio.h>
#include <stdlib.h>
int gcd(int a,int b,int c);
int main() {
int a, b, c;
int ans;
while(scanf("%d%d%d", &a, &b, &c) != EOF) {
ans = gcd(a, b, c); // 函数调用
printf("最大公约数: %d\n\n", ans);
}
return 0;
}
int gcd(int a,int b,int c)
{
int mini,i;
mini=a;
if (b<mini)
mini=b;
else if(c<mini)
mini=c;
for(i=mini;i>0;i--)
{
if(a%i==0 && b%i==0 && c%i==0)
return i;
}
}


浙公网安备 33010602011771号