会员
周边
新闻
博问
闪存
众包
赞助商
Chat2DB
所有博客
当前博客
我的博客
我的园子
账号设置
会员中心
简洁模式
...
退出登录
注册
登录
1container
博客园
首页
新随笔
联系
订阅
管理
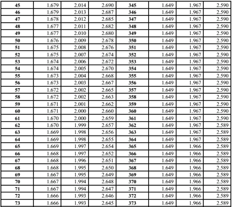
t检验临界值表
T检验临界值表的.pdf-原创力文档 (book118.com)
但双侧:
t检验(t-test)临界值表 - 豆丁网 (docin.com)
...
posted @
2022-05-08 16:30
1container
阅读(
4413
) 评论(
0
)
收藏
举报
刷新页面
返回顶部
公告