矩阵乘法
矩阵乘法



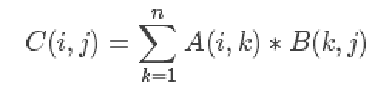
矩阵乘法中第一个矩阵的列要等于第二个矩阵的行
一个m∗n的的A矩阵,和一个n∗p的B矩阵相乘,将得到一个m∗p的矩阵C




Fibonacci 第 n 项(信息学奥赛一本通 1642)
【题目描述】
大家都知道 Fibonacci 数列吧,f1=1,f2=1,f3=2,f4=3,…,fn=fn−1+fn−2 。 现在问题很简单,输入 n和 m,求 fn mod m。
【输入】
输入 n,m。
【输出】
输出 fn mod m。
【输入样例】
5 1000
【输出样例】
5
题意:fn=fn-1+fn-2
构造:fn-1=fn-1+0*fn-2
构造一维递推式和相同维数的方阵。




--END--

浙公网安备 33010602011771号
我的博客: 𝟷𝙻𝚒𝚞
本文链接: https://www.cnblogs.com/1Liu/p/15892437.html
版权声明: 本博客所有文章除特别声明外,均采用 BY-NC-SA 许可协议。转载请注明出处!