线段树基础
线段树,是一类维护区间值的数据结构.
它能够实现单点/区间修改加上单点/区间查询,也可以查询区间和、最值等等.
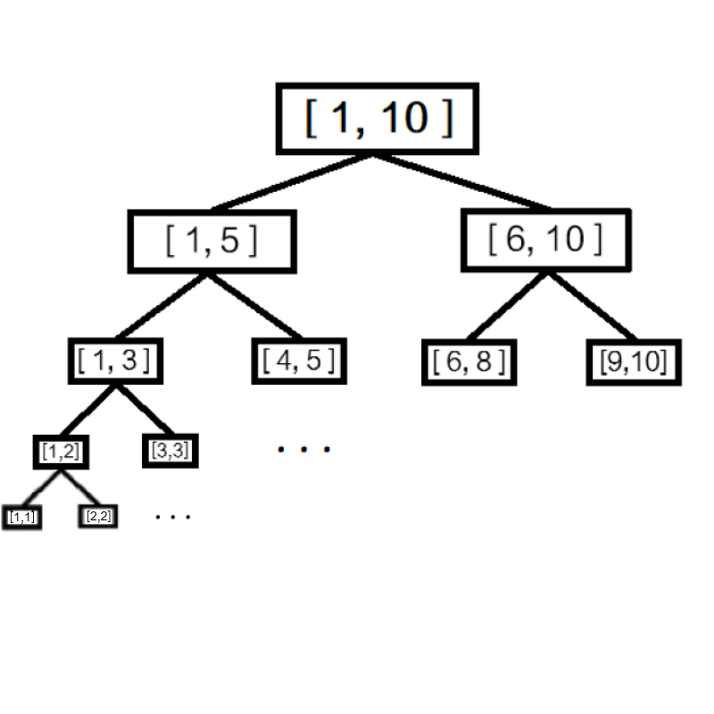
线段树是一棵二叉树,树上的每一个节点表示数列的一个区间.

原谅我当初像素没有调好
可以发现它的构成:一个区间 [l , r] 的左子树代表的区间是 [l , ],右子树代表的区间是 [ + 1 , r].
如何实现?
基本操作
首先,是开数组.
struct tree { ll v,tag; }t[maxn<<2];
空间大小要至少开到4倍以上. 因为一共是 log 层的.
左儿子 lson:
#define ls(x) (x<<1)
右儿子 rson:
#define rs(x) (x<<1|1)
其实就是一个乘 2 和乘 2 加 1 的操作.
然后,就是
建树
inline void build(rll rt,rll l,rll r)
{
if(l==r) { t[rt].v=a[l]/*原来的数组*/; return; }
rll mid=(l+r)>>1;build(ls(rt),l,mid);build(rs(rt),mid+1,r);// 递归建树
pushup(rt);// 向上传递标记
}
在每一次更新的时候,都要上传一次标记,即进行 pushup 操作.
#define pushup(rt) t[rt].sum=(t[ls(rt)].sum+t[rs(rt)].sum),\
t[rt].mx=max(t[ls(rt)].mx,t[rs(rt)].mx)
更新
下面展示的是单点修改的操作.
inline void update(rll rt,rll l,rll r,rll pos,rll v)
{
if(l==r) { t[rt].v=v; /*要修改的值*/ return; }
rll mid=(l+r)>>1; pushdown(rt,l,r);// 下放之前的标记
if(pos<=mid) build(ls(rt),l,mid);
else build(rs(rt),mid+1,r);// 如果要修改的点在左边就去左子树,否则去右子树
pushup(rt);// 向上传递标记
}
在每一次修改之前,需要把上一次修改操作的标记下放.
因此有一个向下延迟更新的操作 pushdown.
如果只有单点操作,可以不用 pushdown,一遍更新即可. 一般为区间操作或者查询最值时需要 pushdown.
下面展示的是区间修改的操作.
inline void update(rll rt,rll l,rll r,rll x,rll y,rll v)
{ // l、r:当前区间 x、y:所需要修改的区间
if(x<=l&&r<=y) { t[rt].v=v; /*要修改的值*/ return; } // 在所修改区间内部直接修改并加入tag,用于pushdown
rll mid=(l+r)>>1; pushdown(rt,l,r);// 下放之前的标记
if(x<=mid) build(ls(rt),l,mid);
if(y>mid) build(rs(rt),mid+1,r);// 如果要修改区间的左端点包括在当前区间了,就递归左边;右边同理
pushup(rt);// 向上传递标记
}
上面展示的是修改为某个值. 如果需要增加某个值,把=改成+=即可.
如何下放标记?
不断把标记向子树传递并且更新权值即可.
inline void pushdown(rll rt,rll l,rll r)// 区间和的下放
{
if(t[rt].tag)// 有标记才下放
{
rll mid=(l+r)>>1;
t[ls(rt)].tag+=t[rt].tag; t[rs(rt)].tag+=t[rt].tag;
t[ls(rt)].v+=t[rt].tag*(mid-l+1); t[rs(rt)].v+=t[rt].tag*(r-mid);
}
}
查询
查询的话也是很简单的.
也是不断递归子树找到要查询的点或区间,上传这个值.
以下代码均为求和,求最值其实差不多,改成mx或者mn就行了.
下面展示了单点查询的示例:
inline void query(rll rt,rll l,rll r,rll pos)
{
if(l==r) return t[rt].v;
pushdown(rt); rll mid=(l+r)>>1;
if(pos<=mid) return query(ls(rt),l,mid,pos); else return query(rs(rt),mid+1,r,pos);
}
值得注意的是,查询的时候不需要 pushup,因为并没有修改;但是需要 pushdown,因为修改下传的标记是延迟的,需要传到叶节点.
下面展示了区间查询的示例:
inline void query(rll rt,rll l,rll r,rll x,rll y)
{
if(x<=l&&r<=y) return t[rt].v;
pushdown(rt); rll mid=(l+r)>>1,ans=0;
if(x<=mid) ans+=query(ls(rt),l,mid,x,y);
if(y>mid) ans+=query(rs(rt),mid+1,r,x,y);
return ans;
}
扩展操作
动态开点线段树
在数据较为离散或者需要进行可持久化操作时,常常需要用到动态开点.
这时,lson和rson就不再是乘 2 和乘 2 加 1 了. 需要记录一下每个节点的左右子树的编号. 这里通常在 build() 或 update() 中完成.
下面展示了动态开点线段树的形式与单点修改的更新操作. 注意以当前节点为根,根需要引用.
struct node
{
#define ls(x) t[x].ls
#define rs(x) t[x].rs
ll v,ls,rs;
}t[maxn<<2];
ll tot;
inline void update(rll& rt,rll l,rll r,rll pos,rll v)
{
if(!rt) { rt=++tot; ls(rt)=rs(rt)=t[rt].v=0; }
if(l==r) { t[rt].v=v; return; }
...(以下内容和正常线段树相同)
}
动态开点可以解决区间为负的情况,注意在 mid 计算时要使其等于 (l+r-1)/2,而不是 (l+r)/2. 否则会 RE.
权值线段树
权值线段树可以用来查询一个数列的第 k 大/小值. 其每个节点存储的是其维护区间内的数出现的次数.
懒得打了,下面粘的几个板子:
单点更新
void update(int &rt, int l, int r, int pos, int val) {
if (!rt) rt = ++tot;
if(l == r) {
tree[rt].cnt++;
tree[rt].num = val;
return;
}
int mid = (l + r) >> 1;
if (pos <= mid) update(lson, l, mid, pos, val);
else update(rson, mid+1, r, pos, val);
tree[rt].cnt = tree[lson].cnt + tree[rson].cnt;
}
查询
int query(int rt, int l, int r, int L, int R) {
if (!rt) return 0;
if (L <= l && r <= R) return tree[rt].cnt;
int ans = 0;
int mid = (l + r) / 2;
if (L <= mid) ans += query(lson, l, r, L, R);
if (mid < R) ans += query(rson, l, r, L, R);
return ans;
}
int queryk(int rt, int l, int r, int k) {
if (!rt) return -INF;
if (l == r) return tree[rt].num;
int mid = (l+r)>>1;
if (k > tree[rson].cnt) { // 要查的数字在左边
return queryk(lson, l, mid, k - tree[rson].cnt);
} else {
return queryk(rson, mid+1, r, k);
}
}
// ROOT:树根的编号
// L:值域的最小值
// R:值域的最大值
int lcount(int val) {
return query(ROOT, L, R, L, val-1);
}
int rcount(int val) {
return query(ROOT, L, R, val+1, R);
}
int getrank(int val) {
return lcount(val) + 1;
}
int pre(int val) {
int x = lcount(val);
return queryk(ROOT, L, R, x);
}
int suc(int val) {
int x = getrank(val);
return queryk(ROOT, L, R, x+1);
}
线段树合并
就是把两棵线段树合并成一棵,里面保存两棵树中原有的信息.
具体做法:
假设合并线段树 A 和 B,且当前合并到了 pos 位置.
如果 A 树有 pos 位置,B 树没有,返回 A 位置,保存 A 中的数据. 反之如果 B 树有 A 树没有,返回 B.
否则(如果均有 pos 位置):
如果已经合并到叶子节点了,那么把 B 树中的权加到 A 树上,返回 A 树.
然后递归处理子树,用子树的值更新 A 树的当前节点(即pushup),返回 A树.
实现:
inline ll merge(rll rta,rll rtb,rll l,rll r)
{
if(!rta) return rtb; if(!rtb) return rta;
if(l==r) { t[rta].v+=t[rtb].v; return rta; }
rll mid=(l+r)>>1;
ls(rta)=merge(ls(rta),ls(rtb),l,mid);
rs(rta)=merge(rs(rta),rs(rtb),mid+1,r);
pushup(rta); return rta;
}
线段树可持久化
主席树不是联赛内容,以后再写.
李超线段树
更不是联赛内容,但是既然打了,先给挂上.
它是维护给定线段的数据结构,通过加入一次函数、查找斜率来实现加入与查询线段.
具体维护是把每一个节点打一个标记,作为一条线段.
插入线段时,如果所加入区间无标记,直接更新;若有,则不断递归下传.
具体的下传操作(摘自 oi-wiki):
原文链接:
查询的话,就传一个 x 坐标,将所有经过它的的线段进行比较得出最优答案.
下面是模板题(Luogu P4097) 的实现:
点击查看代码
#include<bits/stdc++.h>
#define ll long long
#define rg register
#define ld long double
#define rll rg ll
#define maxn 10000001
#define jd 0.0000001// 精度
#define mod 39989
#define moe 1000000000
#define pll pair<ld,ll>
#define put_ putchar(' ')
#define putn putchar('\n')
using namespace std;
inline ll read()
{
rll f=0,x=0;rg char ch=getchar();while(ch<'0'||ch>'9') f|=ch=='-',ch=getchar();
while(ch>='0'&&ch<='9') x=(x<<3)+(x<<1)+(ch^'0'),ch=getchar();return f?-x:x;
}
inline void write(rll x) { if(x<0) putchar('-'),x=-x;if(x>9) write(x/10);putchar(x%10|'0'); }
struct node
{
#define ls(x) (x<<1)
#define rs(x) (x<<1|1)
ld k,b;
}t[maxn<<2];
ll n,op,cnt,ans,k,_x0,_y0,_x1,_y1;
ll s[maxn<<2];
inline ll cmp(rg ld a,rg ld b) { if(a-b>jd) return 1; if(b-a>jd) return -1; return 0; }// 比较函数,为了防止精度的误差
inline void add(rll _x0,rll _x1,rll _y0,rll _y1)
{
cnt++; if(_x0==_x1) t[cnt].b=max(_y0,_y1);
else t[cnt].k=((ld)_y1-_y0)/((ld)_x1-_x0),t[cnt].b=_y0-t[cnt].k*_x0;
}
inline void upd(rll rt,rll l,rll r,rll x)// 下传标记的函数,更新一条线段覆盖到的区间
{
rll mid=(l+r)>>1,bl,br; if(cmp(t[x].b+t[x].k*mid,t[s[rt]].b+t[s[rt]].k*mid)==1) swap(x,s[rt]);
bl=cmp(t[x].b+t[x].k*l,t[s[rt]].b+t[s[rt]].k*l),br=cmp(t[x].b+t[x].k*r,t[s[rt]].b+t[s[rt]].k*r);
if(bl==1||((!bl)&&x<s[rt]/*判断线段编号*/)) upd(ls(rt),l,mid,x);
if(br==1||((!br)&&x<s[rt])) upd(rs(rt),mid+1,r,x);
}
inline void update(rll rt,rll l,rll r,rll x,rll y,rll v)// 线段拆分,图片里有讲
{
if(y<l||x>r) return;
if(x<=l&&r<=y) { upd(rt,l,r,v); return; } rll mid=(l+r)>>1;
if(x<=mid) update(ls(rt),l,mid,x,y,v); if(y>mid) update(rs(rt),mid+1,r,x,y,v);
}
inline pll max(rg pll a,rg pll b)// pair 比较最大值
{
if(!~cmp(a.first,b.first)) return b; if(cmp(a.first,b.first)) return a; return a.second<b.second?a:b;
}
inline pll query(rll rt,rll l,rll r,rll pos)// 查询线段
{
if(pos<l||pos>r) return (pll) { 0,0 };
rg ld ans=t[s[rt]].b+t[s[rt]].k*pos; if(l==r) return (pll) { ans,s[rt] }; rll mid=(l+r)>>1;
return max((pll) { ans,s[rt] },max(query(ls(rt),l,mid,pos),query(rs(rt),mid+1,r,pos)));
}
int main()
{
n=read(); while(n--) switch(op=read())
{
case 0: k=(read()+ans-1+mod)%mod+1; write(ans=query(1,1,mod,k).second);putn; break;
case 1:
_x0=(read()+ans-1+mod)%mod+1,_y0=(read()+ans-1+moe)%moe+1,_x1=(read()+ans-1+mod)%mod+1,_y1=(read()+ans-1+moe)%moe+1;
if(_x0>_x1) swap(_x0,_x1),swap(_y0,_y1); add(_x0,_x1,_y0,_y1); update(1,1,mod,_x0,_x1,cnt); break;
}
return 0;
}
--END--


浙公网安备 33010602011771号
我的博客: 𝟷𝙻𝚒𝚞
本文链接: https://www.cnblogs.com/1Liu/articles/16755752.html
版权声明: 本博客所有文章除特别声明外,均采用 BY-NC-SA 许可协议。转载请注明出处!