leetcode.99. 恢复二叉搜索树
给你二叉搜索树的根节点 root ,该树中的 恰好 两个节点的值被错误地交换。请在不改变其结构的情况下,恢复这棵树 。
示例 1:

输入:root = [1,3,null,null,2]
输出:[3,1,null,null,2]
解释:3 不能是 1 的左孩子,因为 3 > 1 。交换 1 和 3 使二叉搜索树有效。
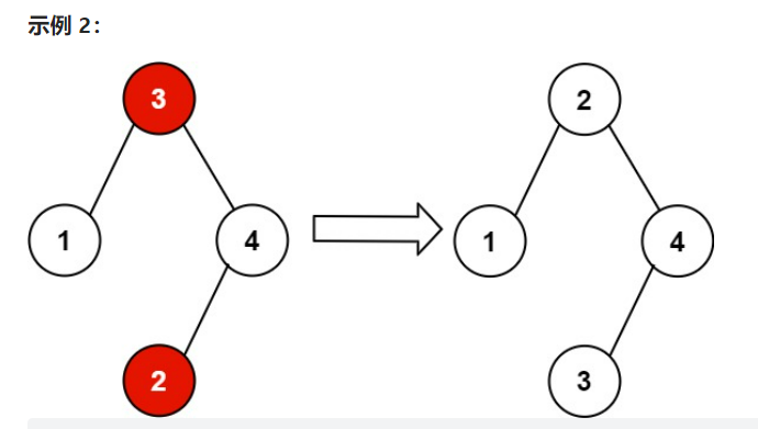
示例 2:

输入:root = [3,1,4,null,null,2]
输出:[2,1,4,null,null,3]
解释:2 不能在 3 的右子树中,因为 2 < 3 。交换 2 和 3 使二叉搜索树有效。
提示:
树上节点的数目在范围 [2, 1000] 内
-231 <= Node.val <= 231 - 1
来源:力扣(LeetCode)
链接:https://leetcode.cn/problems/recover-binary-search-tree
著作权归领扣网络所有。商业转载请联系官方授权,非商业转载请注明出处。
/**
* Definition for a binary tree node.
* public class TreeNode {
* int val;
* TreeNode left;
* TreeNode right;
* TreeNode() {}
* TreeNode(int val) { this.val = val; }
* TreeNode(int val, TreeNode left, TreeNode right) {
* this.val = val;
* this.left = left;
* this.right = right;
* }
* }
*/
class Solution {
TreeNode t1, t2, pre;
public void recoverTree(TreeNode root) {
inorder(root);
int temp = t1.val;
t1.val = t2.val;
t2.val = temp;
}
public void inorder(TreeNode root){
if (root == null) return ;
inorder(root.left);
if (pre != null && pre.val > root.val) {
if (t1 == null) t1 = pre;
t2 = root;
}
pre = root;
inorder(root.right);
}
}

浙公网安备 33010602011771号