leetocde.92. 反转链表 II
给你单链表的头指针 head 和两个整数 left 和 right ,其中 left <= right 。请你反转从位置 left 到位置 right 的链表节点,返回 反转后的链表 。
 
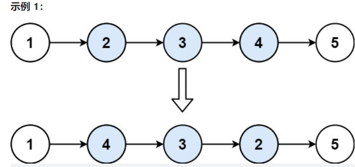
示例 1:

输入:head = [1,2,3,4,5], left = 2, right = 4
输出:[1,4,3,2,5]
示例 2:
输入:head = [5], left = 1, right = 1
输出:[5]
 
提示:
链表中节点数目为 n
1 <= n <= 500
-500 <= Node.val <= 500
1 <= left <= right <= n
来源:力扣(LeetCode)
链接:https://leetcode.cn/problems/reverse-linked-list-ii
著作权归领扣网络所有。商业转载请联系官方授权,非商业转载请注明出处。
/**
 * Definition for singly-linked list.
 * public class ListNode {
 *     int val;
 *     ListNode next;
 *     ListNode() {}
 *     ListNode(int val) { this.val = val; }
 *     ListNode(int val, ListNode next) { this.val = val; this.next = next; }
 * }
 */
class Solution {
    public ListNode reverseBetween(ListNode head, int m, int n) {
        ListNode dummy = new ListNode(0);
        dummy.next = head;
        ListNode pre = dummy;
        for(int i = 1; i < m; i++){
            pre = pre.next;
        }
        head = pre.next;
        for(int i = m; i < n; i++){
            ListNode nex = head.next;
            head.next = nex.next;
            nex.next = pre.next;
            pre.next = nex;
        }
        return dummy.next;
    }
}
 
                    
                
 
                
            
         浙公网安备 33010602011771号
浙公网安备 33010602011771号