leetcode.83. 删除排序链表中的重复元素
给定一个已排序的链表的头 head , 删除所有重复的元素,使每个元素只出现一次 。返回 已排序的链表 。
示例 1:

输入:head = [1,1,2]
输出:[1,2]
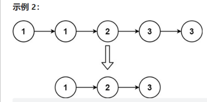
示例 2:

输入:head = [1,1,2,3,3]
输出:[1,2,3]
提示:
链表中节点数目在范围 [0, 300] 内
-100 <= Node.val <= 100
题目数据保证链表已经按升序 排列
来源:力扣(LeetCode)
链接:https://leetcode.cn/problems/remove-duplicates-from-sorted-list
著作权归领扣网络所有。商业转载请联系官方授权,非商业转载请注明出处。
/**
* Definition for singly-linked list.
* public class ListNode {
* int val;
* ListNode next;
* ListNode() {}
* ListNode(int val) { this.val = val; }
* ListNode(int val, ListNode next) { this.val = val; this.next = next; }
* }
*/
class Solution {
public ListNode deleteDuplicates(ListNode head) {
if(head==null||head.next==null){
return head;
}
head.next=deleteDuplicates(head.next);
///////////////////////////////////////
if(head.val==head.next.val)head=head.next;
return head;
}
}

浙公网安备 33010602011771号