leetcode.1104. 二叉树寻路
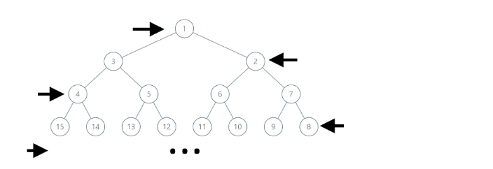
在一棵无限的二叉树上,每个节点都有两个子节点,树中的节点 逐行 依次按 “之” 字形进行标记。
如下图所示,在奇数行(即,第一行、第三行、第五行……)中,按从左到右的顺序进行标记;
而偶数行(即,第二行、第四行、第六行……)中,按从右到左的顺序进行标记。

给你树上某一个节点的标号 label,请你返回从根节点到该标号为 label 节点的路径,该路径是由途经的节点标号所组成的。
示例 1:
输入:label = 14
输出:[1,3,4,14]
示例 2:
输入:label = 26
输出:[1,2,6,10,26]
提示:
1 <= label <= 10^6
class Solution {
public List<Integer> pathInZigZagTree(int label) {
int row=1,rowstart=1;
while(rowstart*2<=label){
row++;
rowstart*=2;
}
if(row%2==0){
label=getReverse(label,row);
}
List<Integer>path =new ArrayList();
while(row>0){
if(row%2==0){
path.add(getReverse(label,row));
}else{
path.add(label);
}
row--;
label >>=1;
}
Collections.reverse(path);
return path;
}
public int getReverse(int label,int row){
return (1<<row-1)+(1<<row)-1-label;
}
}

浙公网安备 33010602011771号