leetcode.589. N 叉树的前序遍历
给定一个 n 叉树的根节点 root ,返回 其节点值的 前序遍历 。
n 叉树 在输入中按层序遍历进行序列化表示,每组子节点由空值 null 分隔(请参见示例)。

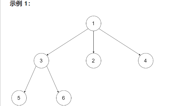
输入:root = [1,null,3,2,4,null,5,6] 输出:[1,3,5,6,2,4]
输入:root = [1,null,2,3,4,5,null,null,6,7,null,8,null,9,10,null,null,11,null,12,null,13,null,null,14]
输出:[1,2,3,6,7,11,14,4,8,12,5,9,13,10]
提示:
- 节点总数在范围
[0, 104]内 0 <= Node.val <= 104- n 叉树的高度小于或等于
1000
/*
// Definition for a Node.
class Node {
public int val;
public List<Node> children;
public Node() {}
public Node(int _val) {
val = _val;
}
public Node(int _val, List<Node> _children) {
val = _val;
children = _children;
}
};
*/
class Solution {
List<Integer>res=new ArrayList();
public List<Integer> preorder(Node root) {
helper(root);
return res;
}
public void helper(Node root){
if(root==null)return;
res.add(root.val);
for(int i=0;i<root.children.size();i++){
helper(root.children.get(i));
}
}
}

浙公网安备 33010602011771号