leetcode.590. N 叉树的后序遍历
给定一个 n 叉树的根节点 root ,返回 其节点值的 后序遍历 。
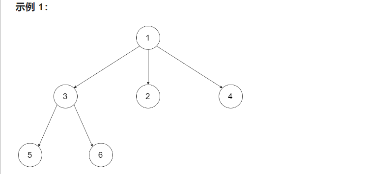
n 叉树 在输入中按层序遍历进行序列化表示,每组子节点由空值 null 分隔(请参见示例)。

输入:root = [1,null,3,2,4,null,5,6] 输出:[5,6,3,2,4,1]
 
输入:root = [1,null,2,3,4,5,null,null,6,7,null,8,null,9,10,null,null,11,null,12,null,13,null,null,14]
输出:[2,6,14,11,7,3,12,8,4,13,9,10,5,1]
提示:
- 节点总数在范围 [0, 104]内
- 0 <= Node.val <= 104
- n 叉树的高度小于或等于 1000/*// Definition for a Node.class Node {public int val;public List<Node> children;
 public Node() {}
 public Node(int _val) {val = _val;}
 public Node(int _val, List<Node> _children) {val = _val;children = _children;}};*/
 class Solution {List<Integer>res=new ArrayList();public List<Integer> postorder(Node root) {helper(root);return res;}public void helper(Node root){if(root==null)return;for(int i=0;i<root.children.size();i++){helper(root.children.get(i));}res.add(root.val);}}
 
                     
                    
                 
                    
                
 
                
            
         
         浙公网安备 33010602011771号
浙公网安备 33010602011771号