leetcode.700. 二叉搜索树中的搜索
给定二叉搜索树(BST)的根节点 root 和一个整数值 val。
你需要在 BST 中找到节点值等于 val 的节点。 返回以该节点为根的子树。 如果节点不存在,则返回 null 。

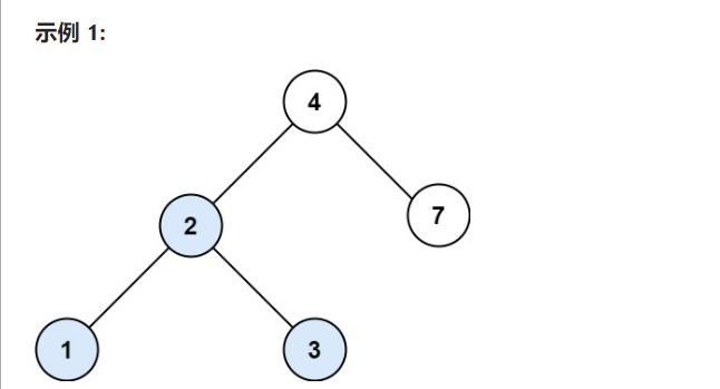
输入:root = [4,2,7,1,3], val = 2 输出:[2,1,3]
输入:root = [4,2,7,1,3], val = 5 输出:[]
提示:
- 数中节点数在
[1, 5000]范围内 1 <= Node.val <= 107root是二叉搜索树1 <= val <= 107

浙公网安备 33010602011771号