leetcode 559. N 叉树的最大深度
给定一个 N 叉树,找到其最大深度。
最大深度是指从根节点到最远叶子节点的最长路径上的节点总数。
N 叉树输入按层序遍历序列化表示,每组子节点由空值分隔(请参见示例)。

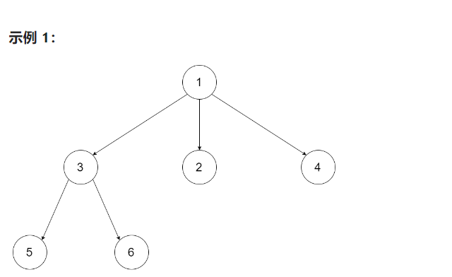
输入:root = [1,null,3,2,4,null,5,6] 输出:3
输入:root = [1,null,2,3,4,5,null,null,6,7,null,8,null,9,10,null,null,11,null,12,null,13,null,null,14]
输出:5
提示:
- 树的深度不会超过
1000。 - 树的节点数目位于
[0, 104]之间。
/*
// Definition for a Node.
class Node {
public int val;
public List<Node> children;
public Node() {}
public Node(int _val) {
val = _val;
}
public Node(int _val, List<Node> _children) {
val = _val;
children = _children;
}
};
*/
class Solution {
public int maxDepth(Node root) {
if(root==null)return 0;
else if(root.children.isEmpty()){return 1;}
else {
List<Integer>heights=new LinkedList<>();
for(Node item : root.children)
heights.add(maxDepth(item));
return Collections.max(heights)+1;
}
}
}

浙公网安备 33010602011771号