打卡1
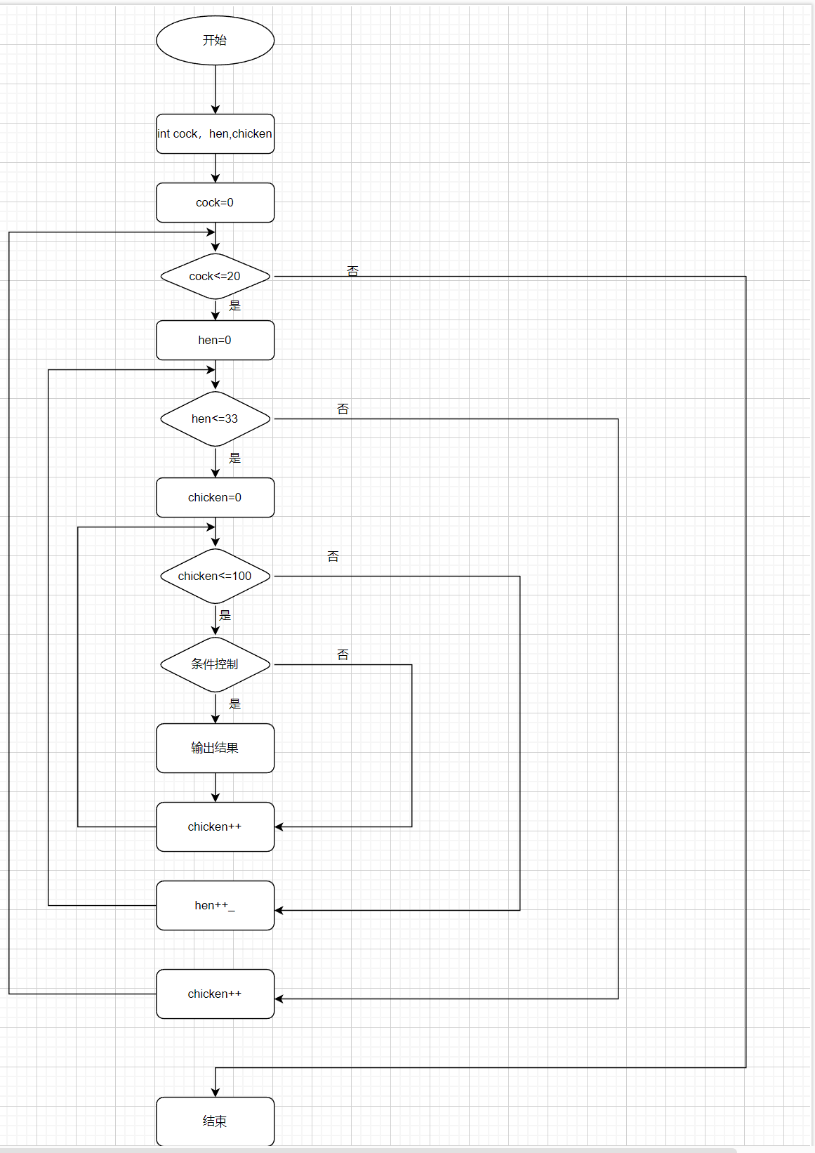
#include<stdio.h>
int main()
{
int i,j,k;
for(i=0;i<=20;i++)
for(j=0;j<=33;j++)
for(k=3;k<=99;k++)
if(i+j+k==100&&i*5+j*3+k/3*1==100&&k%3==0)
printf("公鸡=%d 母鸡=%d 小鸡=%d\n",i,j,k);
return 0;
}


浙公网安备 33010602011771号