信号完整性(SI)电源完整性(PI)学习笔记(十一)传输线与反射(一)
传输线与反射(一)
1.只要信号遇到瞬时阻抗突变就会发生反射。设计互联的目的就是尽可能保持信号受到的阻抗恒定。
(1)要保持互联的瞬间阻抗匹配;
(2)可以在传输线的终端进行阻抗匹配;
(3)即使已经是可控阻抗互联和终端端接,布线的拓扑结构也会影响反射。为了使阻抗的变化和反射噪声最小化,一个重要的策略就是维持一个线性的布线拓扑,线上不需要有太多分支和桩线。

2.无论什么原因使瞬时阻抗发生了变化,部分信号将沿着与原传播方向相反的方向反射,而另一部分将继续传播,但幅度有所改变。瞬时阻抗发生改变的地方称为阻抗突变,或简称突变。
3.反射信号的量值由瞬间阻抗的变化量决定。第一个区域的瞬时阻抗为Z1,第二个区域的瞬时阻抗为Z2则反射信号与入射信号的幅值之比为:

在反射的概念中还有一个很重要的定义就是反射系数:它是衡量反射能量的多少,指的是反射电压比上原传输信号电压的比值。
(1)两个区域的阻抗差异越大,反射信号量就越大;
(2)反射系数p,他是反射电压与入射电压的比值;
4.如果信号沿传输线传播时遇到阻抗突变,在突变处就会产生另一个波,这第二个波将叠加在第一个波上,但它时向源端传播的。其幅度等于入射电压的幅度乘以反射系数。
5.为了减小反射,必须掌握以下四个重要的设计要点:
(1)使用可控阻抗互联;
(2)传输线两端至少有一个端接匹配;
(3)选择布线拓扑结构,使多分支的影响最小化;
(4)让几何结构的任何突变都最小化。
6.产生反射信号是为了满足两个重要的边界条件。(电压和电流)
(1)在交界面两侧的电压和电流都必须相等。边界不可能出现电压不连续,否则会有一个很大的电场(无限大)。交界面处也不可能出现电流不连续,否则会在此处产生净电荷。
(2)反射电压目的就是吸收入射信号和传输信号之间不匹配的电压和电流。

7.信号导体和返回导体之间的总电压是沿这两个方向传播的电压之和。即入射电压加入反射电压。
(1)交界面两侧电压相同的条件为:
Vinc为入射电压,
Vrefl为反射电压;
Vtrans为传输电压;
(2)电流相同的条件为:

(3)传输系数为:t

8.传输线端接匹配3种特殊情况:
(1)传输线终端为开路。即传输线的末端没有任何端接,则末端的瞬时阻抗是无穷大。p=1,这就意味着在开路端将产生与入射波大小相同但方向相反的返回源端的反射波。测量开路端的电压为两电压之和。(入射电压和反射电压之和)
(2)传输线的末端与返回路径相短路,即末端阻抗为0,p=-1。即短路突变处测得的电压为入射电压与反射电压之和等于0V,从源端出发的正向行波和返回源端的负向行波之和。
(3)传输线末端所接阻抗与传输线的特性阻抗相匹配,不会发生反射。

9.当末端为一般阻性负载时,信号受到的瞬时阻抗在0到无穷大之间。
(1)当区域2的阻抗小于区域1的阻抗时,反射系数为负值。该负电压行波将返回源端。
(2)当区域2的阻抗小于区域1的阻抗时,反射系数为负值,在入射电压中要把反射电压减去,这就意味着在电阻器上测量的电压总是小于入射电压。


10.当反射波最终到达源端时,将驱动器的源输出阻抗作为瞬时阻抗,这个源输出阻抗的值决定了从驱动器再次反射回远端反射波的情况。
11.确认驱动器的输出阻抗
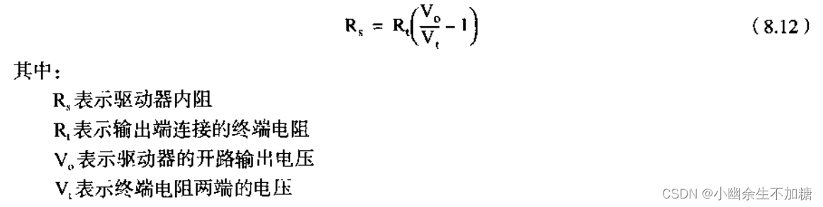
(1)假设器件的等效电路模型为理想电压源与源内阻的串联电路,当它驱动一个高阻抗时,就可以得到这个理想电压源的输出电压。

(2)另外一种方法就是改变负载电阻值,直到负载输出电压恰好等于空载开路输出电压的一半为止。这时驱动器的源内阻就等于负载电阻大小。

12.进入传输线的实际电压(即入射电压)是由源电压,内阻和传输线输入阻抗组成的分压器共同决定的。
13.如果已知传输线的时延Td、信号通过各区域的阻抗和驱动器的初始电压,就可以计算出每个交界面的反射电压,也可以预估出任意一点的实际电压。
14.内阻小于传输线的特性阻抗,源端出现的负反射,将引起通道常说的振铃现象。

15.振铃的两个重要特征:
(1)远端的电压最终逼近源电压1V,因为该电路时开路的,所以这是必然的结果,即源电压最终是加在开路端的。
(2)开路处的电压有时大于源电压。它是传输线结构共振的一个特征。没有所谓的电压守恒,只有能量守恒。

16.任意阻抗,任意波形对应的反射系数和反射波形都可以用SPICE或其他仿真电路计算获得。利用仿真器,首先要创建驱动器,再加上理想传输线,并接上终端电阻。
17.TDR时域反射计:是一个快速阶跃信号发生器和高速采样示波器。

18.利用时域反射计可以测量出连接在仪器前端SMA连接器上的各种互联所产生的反射电压,测出在信号的传播反射过程中,该电压随时间的变化情况。
19.当传输信号沿被测元器件继续传播时,如果其他瞬时阻抗发生改变的区域,就会产生新的反射电压。此电压将返回内部测试点处并进行显示。从显示器上看到的时延正好是到任意突变点之间的往返时延。只有运用工程经验并将其量化,一些重要的效应才能被确认并加以控制,而次要因素也能被确认并加以忽略。


浙公网安备 33010602011771号