C程序设计实验报告
实验项目:2.3.3字符与ASCll码、2.3.4运算符与表达式的运用、2.3.5
顺序结构应用程序、3.3.1数学函数的算法描述、3.3.2鸡兔同笼的算法描述、3.3.3确定坐标的算法描述
姓名:林世龙
实验地点:家
实验时间:2020.3.10
一、实验目的与要求:1、掌握自增++、自减--运算符的正确使用。
2、掌握基本的输入/输出函数的基本功能、调用方法、输入/输出格式控制规定等。
3、掌握结构化程序的算法描述方法。
4、熟练掌握C语言的运算符,即运算符的优先级和结核性、运算规则、运算对象类型等。
二、实验内容
1、实验练习2.3.1
(1)问题的简单描述:从键盘中输入一个大写字母,要求将其转换成小写字母并输出,同时输出这个小写字母相邻的两个字母,以及它们的ASCII值。
(2)实验代码:
#include <stdio.h> void main() { char a,b,c,d; printf("请输入一个大写字母:"); scanf("%c",&a); b=a+31; c=a+32; c=a+33; printf("小写字母为%c,%c,%c/n",b,c,d); printf("ASCII值为%d,%d,%d/n",b,c,d); }
(3)问题分析:字母大小写ASCll码有差值
2、实验训练2.3.4
(1)问题的简单描述:从键盘输入一个3位正整数,要求输出该数的逆序数。
(2)实验代码:
#include <stdio.h>
main()
{
int a,b,c,d,e;
printf("请输入一个三位正整数:/n");
scanf("%d",&a);
b=(int)(a/100);
c=((int)(a/10)%10);
d=a%10;
e=d*100+c*10+b;
printf("%d:%d/n",a,e);
}
3)问题分析:求逆序数要将个、十、百位的数字拆开求,再组合。
3、实验练习2.3.5
(1)问题的简单描述:编写一个程序,方便医院收费处利用此程序出纳算账。
(2)实验代码:
#include <stdio.h>
void main()
{
float a,b,c,d,e,f,x,y,z;/*其中a代表西药费,b代表检查费,c代表材料费,
d代表床位费,e代表观察费,f代表护理费,x表示病人应付款,y表示病人付
款,z表示找回金额*/
printf("请输入西药费,检查费,材料费,床位费,观察费,护理费:/n");
scanf("%f,%f,%f,%f,%f,%f",&a,&b,&c,&d,&e,&f,&y);
x=a+b+c+d+e+f;
z=y-x;
printf("病人付款=%.2f/n",y);
printf("应付款=%.2f/n",x);
printf("应找回==%.2f/n",z);
}
3)问题分析:注意要切换西文字符
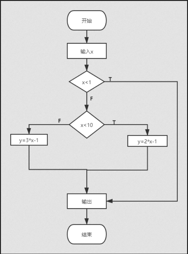
4、实验练习3.3.1
(1)问题的简单描述:请用算法流程图表示该函数算法
(2)实验代码:
#include <stdio.h> main() { float x,y; scanf("%f",&x); if(x<1) y=x; else if(x<10) y=2*x-1; else y=3*x-1; printf("y的值为%.2f/n",y); }
(3)问题分析:要了解并掌握if结构的用法,当if体的语句为一条简单的语句时,可以省略{ },多于一条时,要用{ }把这些语句括起来

5、实验练习:3.3.2
1、问题的简单描述:
将鸡和兔子关在同一笼子里,假如知道鸡和兔的总头数h,鸡和兔的总脚数f,请设计算法,计算出鸡和兔分别有多少只。
2、实验代码:
#include <stdio.h> main() { int h,f,x,y; printf("鸡兔的总数,鸡兔脚总数:"); scanf("%d,%d",&h,&f) ; if(x>0&&y>0) { x=(4*h-f)/2; /*计算鸡的数量*/ y=(f-2*h)/2; /*计算兔的数量*/ printf("鸡有%d 兔有%d/n,x,y") ; } else printf("输出结果错误!/n"); }
3、问题分析:
记得两数相乘时要打“*”

6、实验练习:3-3-3确定坐标的算法描述
(1)简单的问题分析:没有注意关系运算符的应用,if else也运用不熟悉
(2)实验代码:
#include <stdio.h> int main() { float x,y; printf("请输入一个点(x,y):"); scanf("%f,%f",&x,&y); if(x<0) { x=-x; } if(y<0) { y=-y; } if(((x-2)*(x-2)+(y-2)*(y-2))<1) { printf("10"); } else { printf("0"); } return 0; }
(3)问题分析:可以多操作几遍,弄明白或且非的存在意义及条件。
三、实验小结(在本次实验中收获与不足)
初次使用博客园编写实验报告对我来说也是十分新奇的,通过此次实验,我进一步的了解了C语言的算法结构。虽然在实验训练中,出现了很多问题如if算法、sqrt的运用不到位,但是最后都成功解决了。对于此次的实验,虽然经历了许多次失败,但我相信精诚所至金石为开,这次实验对于if
else函数有了更好的理解,所以在课堂以外,我还应拓展自己的知识,不断丰富自己。

浙公网安备 33010602011771号