二叉树
二叉树(Binary Tree) 是 n(n>=0) 个有限元素的集合。该集合或者为空,或者由一个称为根(root)的元素及两个不相交的、被分别称为左子树和右子树的二叉树组成。
当集合为空时,称为空二叉树

二叉树特点
- 每个节点的度最大为 2 (最多拥有 2 颗子树)
- 节点 A 的度为 2, 节点 E 的度为 0。
- 左子树和右子树有严格的顺序。
- 如果将上图的节点 H 和 I 进行调换,则是一个完全不同的二叉树。
- 即使某个节点只有与一颗子树,也要区分是左子树还是右子树。
- 非空二叉树的第
i层,最多有 2n-1 个节点(i >= 1)- 第二层(B C 层为第二层), 最多有 2 个节点,既 22-1 = 2
- 第二层(B C 层为第二层), 最多有 2 个节点,既 22-1 = 2
- 在高度为 h 的二叉树上最多有 2h - 1 个节点
(h>=1)- 如果高度为 4 的二叉树,最多会有 24 - 1 = 15个节点。
- 对于任何一颗飞空二叉树,如果叶子节点的个数为
n0(度为0),度为 2 的结点个数为n2,则有:n0 = n2 + 1- 上图中的 n0 为 5,n2 为 4。
- 假设度为 1 的节点个数为 n1 ,则有二叉树的节点总数
n = n0 + n1 + n2 - 二叉树的边数为
T = n - 1也就是T = n0 + n1 + n2 -1也就是T = 2 * n2 + n1
真二叉树(Proper Binary Tree)
所有节点的度要么为 0,要么为 2。
图1就是一颗真二叉树,节点的度都是 0 和 2。
满二叉树(Full Binary Tree)
所有节点的度要么为 0, 要么为 2,且所有叶子节点都在最后一层。

满二叉树 也是 真二叉树。两者的区别在于,满二叉树的叶子结点都在同一层。
完全二叉树
叶子节点在最后两层,且最后一层的叶子节点都靠左对齐。

完全二叉树的特点:
- 完全二叉树度为 1 的节点,最多只能有 1 个。
- 假设一颗完全二叉树的高度为 h(h >= 1), 那么这颗二叉树至少有多少个节点?
- 2h-1 个节点
- 假设一颗完全二叉树的高度为 h(h >= 1), 那么这颗二叉树最多有多少个节点?
- 2h - 1 个节点
- 也就是说一颗完全二叉树的结点数 n : 2h-1 <= n < 2h
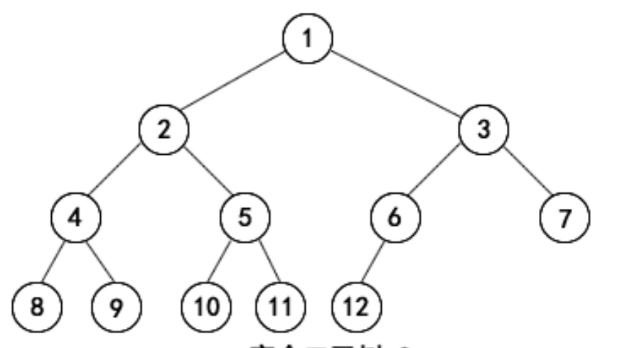
一颗有 n 个节点的完全二叉树(n > 0),从上到下、从左到右对节点从 1 开始编号,对任意第 i 个节点。则有:
- 如果 i = 1 ,则是根节点
- 如果 i > 1,则它的父节点编号为 i/2。
- 如果 2i <= n ,则它的左子节点编号为 2i。完全二叉树的左子节点一定是偶数编号。
- 如果 2i > n ,则该节点无左子节点。
- 如果 2i + 1 <= n,它的右子几点编号为 2i + 1
思考一下,如果从 0 开始编号呢?
I will learn it when i need it ???

浙公网安备 33010602011771号